Colloquiums and Seminars

Colloquium and seminar talks will normally be on a Wednesday (usually in UNA 158 or UNA 161 from 3:15-4:15), but check the information below for each talk.

These seminars/colloquium talks may be by visiting speakers, WCU faculty, or WCU students, and are open to all interested students, faculty and visitors.

Send an e-mail to

Dr. Jeremy Brazas

, if you would like to be on the e-mail list to receive advance notice of upcoming talks.

New (Fall 2022): Recordings of some colloquia have been posted to YouTube and may be accessed from the colloquium video page.

Current Semester

 

Spring 2026 Schedule

Speaker Institution Date of Talk Day/Time Room
Cathy Hsu Swarthmore 2/12/26

Thursday 3:30 – 4:30

UNA 161
Shiv Gupta West Chester University 3/18/26



 
Andy Fry Lewis and Clarke 3/23/26

Monday 3:30 – 4:30

UNA 161
Julia Costacurta Haverford 4/2/26

Thursday 3:30 – 4:30

UNA 161
Henry Adams Florida University 4/10/26

Friday 4:30 – 3:30

UNA 161

Laura Pyott &  Cheng Peng

West Chester University 4/22/26

Wednesday 3:30 – 4:30

UNA 161

 

West Chester University Mathematics Colloquium

Presents

Laura Pyott & Cheng Peng

West Chester University

Laura PyottCheng Peng

Decoding Math Anxiety

Empirical Insights from a Complex Psychometric Survey

Wednesday, April 22, 2026 3:30pm – 4:30 pm Room: UNA 161

Click here  for Zoom options.

Abstract: This presentation examines the core concepts and psychological impact of math anxiety on college students. Using a novel doubly weighted averaging approach, we extract robust insights from complex survey data. Findings reveal a significant gender gap and show how stress negatively shapes students' perceptions of teaching styles. Structural equation modeling maps the key factors within the complex ecosystem of math anxiety. These data-driven insights offer instructors new perspectives for developing customized, effective classroom interventions.

Cheng Peng

Cheng Peng is a Professor of Statistics at West Chester University. Dr. Peng earned his PhD at the Univ. of Toledo and has worked at the University of Southern Maine and at WEX Inc. as a Senior Data Scientist. He is the co-director of the Ram Institute of Survey Research and the author of many research articles in various areas of statistics.

Laura Pyott

Laura Pyott has is an Instructor of Statistics at West Chester University. She earned her MS in Statistics from the University of Delaware and has taught at West Chester since 2001. Dr. Pyott has conducted several Ram Poll Reports, which survey students throughout the PASSHE system and have appeared in local news outlets.

For more information contact:

jbrazas@wcupa.edu

or

mfisher@wcupa.edu

.

 

West Chester University Mathematics Colloquium

Presents

Henry Adams

University of Florida

Math Image from Henry Adams Spring 2026 Colloquium

Vietoris-Rips complexes of manifolds

Friday, April 10, 2026 4:30pm – 5:30 pm Room: UNA 161
Click here  for Zoom options.

Abstract: I will survey what is known (and mostly unknown) about Vietoris-Rips complexes of manifolds. We might consider a dataset to be nice if it were densely sampled from a manifold. But we do not know what the Vietoris-Rips persistent homology of manifolds looks like, typically! I will comment on Vietoris-Rips complexes of the circle, spheres, ellipsoids, tori, and manifolds, and advertise open questions.

Picture of Henry Adams, speaker in the Spring 2026 Colloquium series

Henry Adams is an Assistant Professor of Mathematics at the University of Florida. He received his PhD at Standford in 2013 under Gunnar Carlson and worked previously at Duke and Colorado State. Henry is one of the leading figures in the emerging field of Applied Topology. He is also the executive director of the Applied Algebraic Topology Research Network, which hosts a popular online seminar on YouTube.

For more information contact:

jbrazas@wcupa.edu

or

mfisher@wcupa.edu

.

 

West Chester University Mathematics Colloquium

Presents

Julia Costacurta

Haverford College

Julia Costacurta

Statistical Sequence Models for Behavioral Neuroscience

Thursday, April 2, 2026 3:30pm – 4:30 pm UNA 161

 

Abstract: To study how the brain generates behaviors, we need tools to analyze complex behavioral data. For example, given a video of a mouse exploring an arena, we may be interested in knowing when it performs particular actions, such as sniffing or grooming. Labeling these videos by hand can be biased and time-consuming, so we turn to statistical modeling for an alternative. A common approach is to use a hidden Markov model (HMM), a statistical sequence model which segments video data into
repeated patterns that correspond with individual actions. In this talk, I will build HMMs from the ground up and explore their successes and limitations when modeling animal behavior. In particular, I will motivate an extension to the HMM model which allows it to capture behavioral variability based on speed. No prior exposure to statistical modeling or neuroscience is required! All are welcome.

Julia Costacurta

Julia Costacurta is a Visiting Assistant Professor in Statistics at Haverford College. She received her PhD in 2025 at Stanford University where she worked with Scott Lindermann on developing and fitting statistical models to uncover structure of neuroscience-related datasets.

For more information contact:

jbrazas@wcupa.edu

or

mfisher@wcupa.edu

.

West Chester University Mathematics Colloquium

Presents

Andy Fry

Lewis & Clark College

Andy Fry, Spring 2026 Colloquium speaker

Let’s get Tropical!
An introduction to tropical geometry

Monday, March 23, 2026 Time: 3:30pm – 4:30 pm Room: UNA 161

Click here  for Zoom options.

Abstract: In this talk we will explore what happens to mathematical objects like polynomials and curves when we change our operations from addition/multiplication to taking the max/addition. Altering our normal operations is what we call "tropicalizing". The upside of tropical mathematics is that sophisticated geometric objects transform into piecewise linear objects, and that we gain combinatorial tools to further understand the underlying geometry.

Andy Fry, Spring 2026 Colloquium speaker

Andy Fry is an Assistant Professor of Mathematics at Lewis and Clark College. Previously, he held Visiting Assistant Professor positions at Whitman College and Pacific University after completing his Ph.D. in mathematics at Colorado State University under the supervision of Dr. Renzo Cavalieri. Mathematically, he is interested in tropical geometry, combinatorial aspects of algebraic geometry, moduli spaces, matroid theory, and general combinatorics.

For more information contact:

jbrazas@wcupa.edu

or

mfisher@wcupa.edu

.

West Chester University Mathematics Colloquium

Presents

Cathy Hsu

Swarthmore College

Hsu Spring 2026 colloquium flyer image

Projective and Non-Abelian SET

Thursday, Feb. 12th, 2026 3:30pm – 4:30 pm UNA 161

Join via Zoom

Abstract: Mathematicians love SET. On the surface, this classic game is a contest of pattern recognition, but it also presents an interesting way to visualize the geometry of a torus over a finite field. In this talk, we will discuss some of the mathematics connected to SET and then explore several new versions of the game, including one arising from projective geometry and one arising from non-abelian groups. In particular, we will see how these non-abelian variations on SET can give intuitive visualizations of abstract group structures.

Cathy Hsu photograph

Cathy Hsu is an Assistant Professor in the Department of Mathematics and Statistics at Swarthmore College. Her mathematical interests began as a penchant for logic puzzles and problem solving and grew into a love of abstract algebra and Galois theory while she was an undergraduate student at Rice University. Her research is now primarily in algebraic number theory, including projects related to modular forms and Apollonian circle packings. 

For more information contact:

jbrazas@wcupa.edu

or

mfisher@wcupa.edu

.

 

New talks added throughout the semester - check back later.

Previous Semesters

Fall 2025

Fall 2025 Schedule

Speaker Institution Date of Talk Day/Time Room
Samuel Taylor

Temple

9/12/25

Friday 4:30 – 5:30

UNA 161

Annalisa Crannell

Franklin & Marshall 9/18/25

Thursday 4:00 – 5:00

UNA 161

Medhi Razzaghi

Commonwealth Univ.

10/21/25

Tuesday 4:00 – 5:00

UNA 161

Vanessa Vakharia

“The Math Guru” 10/28/25

Tuesday 4:00 – 5:00

Main 168

Matt Ferland

Dickinson College 11/13/25

Thursday 4:00 – 5:00

UNA 161
Chandrika Sadanand Bowdoin 11/18/2025 Tuesday 4:00pm – 5:00 UNA 161

 

.

West Chester University Mathematics Colloquium

Presents

Chandrika Sadanand

Bowdoin College

Sadanand F25 Colloquium Math Image

You can hear the shape of a polygonal billiard table

Tuesday, Nov. 18th, 2025 4:00pm – 5:00 pm Room: UNA 161

Click here or visit webpage for Zoom option

Abstract: Consider a polygon-shaped billiard table on which a ball can roll along straight lines and reflect off of edges infinitely. In work joint with Moon Duchin, Viveka Erlandsson and Chris Leininger, we have characterized the relationship between the shape of a polygonal billiard table and the set of possible infinite edge itineraries of balls travelling on it. In this talk, we will explore this relationship and the tools used in our characterization (notably a new rigidity result for flat cone metrics).

Sadanand F25 Colloquium Photo

Chandrika Sadanand is an Assistant Professor at Bowdoin College, where she has worked since 2021. Previously she held postdoctoral positions at UIUC, the Technion and the Hebrew University. Before that, she was a graduate student at Stony Brook University under the direction of Dennis Sullivan. Chandrika studies low dimensional topology and geometry. In particular, she is usually thinking about: curves on surfaces, hyperbolic geometry, billiards, flat surfaces and 3-manifolds. 

For more information contact:

jbrazas@wcupa.edu

or

mfisher@wcupa.edu

.

 

West Chester University Mathematics Colloquium

Presents

Matt Ferland 

Dickinson College

Ferland F25 Colloquium Photo

Sums of Superstars are Much Harder than Sums of Nimbers

Thursday, Nov. 13th, 2025 4:00pm – 5:00 pm Room: UNA 161

Click here or visit Colloquium webpage for Zoom option

Abstract: Superstars are a slight generalization of stars. Instead of left and right having the same options, a superstar is a position where left's and right's options are both a collection of nimbers (possibly different nimbers). Considering nim is a rather simple game to learn how to play optimally, it might be surprising that this simple generalization is really difficult! In fact, it turns out that it is very difficult for even computers to play this game. We'll take a look at how these games become quickly become complicated and how we prove that it is difficult even for computers.

Ferland F25 Colloquium Photo

Matt Ferland’s research interests are primarily in “fun” algorithmic problems, and in computer science education. Often his theory research involves computation of combinatorial game theoretical values, but more generally he works with anything related to games or puzzles. In CS Education, his interests are broad, but some particular interests are alternative grading schemes, effective classroom interventions, and increasing inclusivity and participation.
For more information contact:

    For more information contact:

jbrazas@wcupa.edu

or

mfisher@wcupa.edu

 

 

West Chester University Mathematics Colloquium

Presents

Vanessa Vakharia

The Math Guru

Vanessa Vakharia Fall 2025 colloquium image

Math Therapy: How to Break the Math Trauma Cycle!

Tuesday, Oct. 28th, 2025 4:00pm – 5:00 pm Main Hall, RM 168

Abstract: Did you know that if someone says they're "not a math person," it’s usually because they’ve got unresolved math trauma? It turns out that most adults never move past those negative experiences with math. But here's the truth: math trauma is the root cause of all math anxiety. In this crash course, we're diving into what math trauma actually is, how it’s different from anxiety, and - most importantly - how you can help your students (and even teachers!) heal from it. You’ll walk away with practical steps to use in your classroom RIGHT now! Add "Math Therapy" to your toolbox and start changing lives way beyond the classroom!

Vanessa Vakharia biogrphy photograph

Known as the Lady Gaga of math education, Vanessa is the founder and director of The Math Guru, a boutique math & science tutoring studio in Toronto that's changing stereotypes about what math education looks like. She is also the host of the Math Therapy podcast, author of the NEW bestselling book Math Therapy, and lead singer/keytarist for rock band Goodnight Sunrise. She has her Bachelor of Commerce, Teaching Degree, and Masters of Math Education. Her goal is to totally change math culture so that math is finally as cool as every single Taylor Swift song ever written. She failed Grade 11 math twice, which was the best thing that ever happened to her.

For more information contact:

jbrazas@wcupa.edu

or

mfisher@wcupa.edu

.

 

West Chester University Mathematics Colloquium

Presents

Mehdi Razzaghi

Commonwealth University

Mehdi Razzaghi Fall 2025 Colloquium

Key Statistical Models in Toxicology Risk Assessment

Tuesday, Oct. 21st, 2025 4:00pm – 5:00 pm 25 University Avenue, RM 161

Click Here to join via Zoom

Abstract: Toxicologists use mathematical models to describe toxicity mechanisms and determine safe exposure levels for humans and other organisms. Bioassays typically involve exposing animals, such as mice or rats, to various chemical doses - often at higher levels to observe adverse effects. To estimate human risks, toxicologists must extrapolate from high to low exposures and across species. Several statistical models have been developed to aid in this process. Not only have these models enjoyed a high level of mathematical elegance and sophistication, but they are also widely used by industry and government regulatory agencies. In this talk, we will outline some of the most commonly used models and provide illustrative examples to demonstrate their application. 

Mehdi Razzaghi Photograph

Mehdi Razzaghi completed his Ph.D. in Statistics from the University of London and served as a Professor of Statistics at Bloomsburg University for 38 years prior to his recent retirement. He has collaborated extensively with the U.S. Food and Drug Administration (FDA) as a Fellow at the National Center for Toxicological Research. Additionally, he has served as a consultant for the U.S. Environmental Protection Agency (EPA), the National Institutes of Health (NIH), and Geisinger Medical Center. Dr. Razzaghi is the author or co-author of two books, three chapters, and fifty-nine research articles published in peer-reviewed professional journals.

For more information contact:

jbrazas@wcupa.edu

or

mfisher@wcupa.edu

.

 

West Chester University Mathematics Colloquium

Presents

Annalisa Crannell

Franklin & Marshall College

Annalisa Crannell Fall 2025 colloquium math image

Double Take: Geometry, Perspective, and Optical Illusions

Thursday, Sept. 18th, 2025 4:00pm – 5:00 pm 25 University Avenue, RM 161

Click Here to join via Zoom

Abstract: Perspective geometry, so it's said, was the art that made paintings seem realistic and true to life.  Yet the same artistic techniques--and by extension, the same geometry--can create images that astound and confound us.  We provide a carnival of such examples, from special effects in the movies, to sculptures that seem to move as we move, to hidden objects, and to objects whose mirror images transform them into other beings.

Annalisa Crannell Fall 2025 colloquium photo

Annalisa Crannell is the Carmie L. and Beatrice J. Creitz Emerita Professor of Mathematics at Franklin & Marshall College and recipient of both her college’s and the MAA's distinguished teaching awards.  Her early research was in topological dynamical systems (also known as "Chaos Theory"), but she subsequently became active in working with mathematicians and artists on Projective Geometry applied to Perspective Art. Together with mathematician/artists Marc Frantz and Fumiko Futamura, she is the author of Perspective and Projective Geometry and Viewpoints: Mathematical Perspective and Fractal Geometry in Art.  She especially enjoys talking to non-mathematicians who haven't (yet) learned where the most beautiful aspects of the subject lie.

For more information contact:

jbrazas@wcupa.edu

or

mfisher@wcupa.edu

 

 

West Chester University Mathematics Colloquium

and

Tetrahedral Geometry and Topology Seminar

Present

Samuel J. Taylor

Temple University 

Sam Taylor Fall 2025 Colloquium math image

Endperiodic maps via pseudo-Anosov flows

Friday, Sept. 12th, 2025 4:30 – 5:30 pm 25 University Ave, Room 161

Stream via Zoom: Click Here

Abstract: A homeomorphism of a closed surface that preserves no essential curves up to homotopy is homotopic to a pseudo-Anosov homeomorphism. These are maps with very rigid dynamical structure and their studying interacts will many areas of geometric topology. In this talk, I’ll introduce a generalization of this theory to endperiodic homeomorphisms of infinite-type surfaces, discuss their dynamical properties, and explain how they arise from the study of certain flows on 3-manifolds. This is joint work with Michael Landry and Yair Minsky.

Sam Taylor Fall 2025 Colloquium photo

Dr. Samuel J. Taylor is an Associate Professor (and a Hazel Tomlinson Professor) of Mathematics at Temple University. Before coming to Temple, he was an NSF postdoctoral fellow and Gibbs Assistant Professor at Yale University. He received his PhD in 2014 at the University of Texas at Austin  under Alan Reid. Dr. Taylor is a prolific researcher working in the areas of geometric topology, geometric group theory, and dynamics.

For more information contact:

jbrazas@wcupa.edu

 

Spring 2025

 

West Chester University Mathematics Colloquium

Presents

Sahana Balasubramanya

Lafayette College

Sahana Balasubramanya Spring 2025 Colloquium Photo

Group Actions on Hyperbolic Spaces 

Thursday, April 24th, 2025 4:00pm – 5:00 pm 25 University Avenue, RM 158

Zoom Link: https://wcupa.zoom.us/meeting/register/Kb7YW8XdQeCvvgMIrEV_4Q

Abstract: Group actions on hyperbolic spaces have proven to be a useful tool in geometric group theory.  In particular, recent avenues of research have shown that many groups classically studied admit a large class of hyperbolic actions.  I will describe the concept of groups, actions and hyperbolic spaces, and discuss interesting examples.  I will conclude with a brief discussion of groups that are "inaccessible" via this strategy, thereby touching upon recent developments and directions for future research.

Dr. Sahana Balasubramanya is an assistant professor at the Department of Mathematical Sciences at Lafayette College in Easton, Pennsylvania since Fall 2023.  After receiving her PhD from Vanderbilt University in 2018 under the guidance of Prof. Denis Osin, she held multiple post-doctoral positions in the USA and Germany.  Her areas of research are geometric group theory - with a focus on hyperbolic actions of groups and their generalizations - as well as applications of mathematics to economic theory.

For more information contact:

mfisher@wcupa.edu

.

 

 

West Chester University Mathematics Colloquium

Presents

Olivia Chu

Bryn Mawr College

Dr. Olivia Chu Spring 2025 Colloquium Photo

Models of Social and Biological Systems

Thursday, April 17th, 2025 4:00pm – 5:00 pm 25 University Avenue, RM 158

Update: Unfortunately Professor Chu is unable to appear in person, so this colloquium talk will be via Zoom only (see immediately below for the Zoom link).

Zoom Link: https://wcupa.zoom.us/meeting/register/ttg8kI0tQhivfM-O_SZv7w

Abstract: Evolutionary dynamics shape social and biological systems across scales, from the evolution of multicellularity to the emergence of underground fungal symbioses to the formation and maintenance of animal groups and human societies. In these complex adaptive systems, small-scale interactions and associations can lead to emergent, large-scale phenomena. These interactions are often greatly influenced by various forms of heterogeneity, such as personality differences in human populations and variation in altruistic tendencies in animals. In this talk, I will present several models of complex social and biological systems, motivated by real- world phenomena and observations. These models are driven by evolutionary game theory, opinion dynamics frameworks, and agent- based modeling, and employ tools from stochastic processes, differential equations, and dynamical network analysis. I will discuss applications such as the evolution of cooperation, social group formation, the effects of environmental shocks on political opinions and activism, and altruistic tensions in social insect populations.

Dr. Olivia Chu (PhD, Princeton University 2021) is an applied mathematician interested in building models to study social and biological systems. The questions that she aims to explore span a wide range of applications in distinct systems, from human populations (e.g., the evolution of cooperation, polarization, activism) to animal populations (e.g., altruism in social animal groups) to ecological settings (e.g., symbiotic plant-fungi associations). Mathematically, in order to answer these questions, she primarily uses tools from stochastic processes and differential equations and employ analytical and computational techniques that are often complemented by real- world data. Common to all of this work is that it is necessarily done in collaboration with researchers across a wide array of disciplines, including mathematics, ecology, evolutionary biology, psychology, sociology, environmental science, neuroscience, and political science.

For more information contact:

mfisher@wcupa.edu

.

 

West Chester University Mathematics Colloquium

Presents

Tim Chartier

Davidson College

Tim Chartier Spring 2025 Colloquium Photo

Get in the Game: Data Analytics via Sports

Thursday, April 3rd, 2025 4:00pm – 5:00 pm 25 University Avenue, RM 158

Zoom Link: https://wcupa.zoom.us/meeting/register/xM-t6fa6Qcmr6znld9lGtw

Abstract: Sports analytics has gathered tremendous momentum as one of the most dynamic fields. Diving deep into the numbers of sports can be game changing or a framework for data analytics research. What questions can be explored? What actionable insights can be gleaned? From March Madness to national media broadcasts, analytics are becoming increasingly indispensable. Dr. Tim Chartier will discuss outlooks that help with successful analytics, and a variety of questions that can be tackled. He will also share how he leads students to dig into sports via data and their success across the NBA, MLB, NFL, NASCAR, ESPN and his own college teams.

Dr. Tim Chartier (PhD, University of Colorado Boulder 2001, applied mathematics) is a mathematician, author, and educator known for making mathematics engaging and accessible. A professor of mathematics at Davidson College, he specializes in data analytics, sports mathematics, and mathematical modeling. His work has been featured in The New York Times, ESPN, and CBS Evening News, and he has consulted for organizations such as the NBA, Google, and the U.S. Olympic and Paralympic Committee.

An award-winning educator and speaker, Dr. Chartier is also passionate about mathematical outreach, frequently using mime and creativity to bring math to life for audiences of all ages. His books, including Math Bytes and When Life Is Linear, explore the fun and fascinating ways math intersects with everyday life.

For more information contact:

mfisher@wcupa.edu

.

 

 

West Chester University Mathematics Colloquium

Presents

Walt Hickey

Numlock News

Walt Hickey book

The Math of the Movies: You Are What You Watch

Wednesday, March 19th, 2025 4:30pm – 5:30 pm Anderson 203

Zoom Link: https://wcupa.zoom.us/meeting/register/Djt4Xv_rTg6yhFTdspCdDw

Abstract: Pulitzer-prize winning journalist Walt Hickey will talk about how math and statistics can help us better understand the ways that movies, television and TikTok affect us. Drawing on his book, You Are What You Watch, we'll explore how pop culture permeates our society, our minds and our world, and drawing on real-world data to figure out the answers to impossible questions including what superpowers make you go villain?, what's the minimum loot you should do a heist for?, and is Ash Ketchum a good Pokémon trainer?

Walt Hickey book

Walt Hickey is a data journalist obsessed with pop culture's effect on people who consume it and our society as a whole. His work has appeared at FiveThirtyEight, in Vanity Fair, and Business Insider.

For more information contact:

mfisher@wcupa.edu

.

 

West Chester University Mathematics Colloquium

Presents

James Tanton

Mathematical Association of America

College Algebra: A Conversation on Kindness, Story, and Success

Wednesday, March 5th, 2025 5:30pm – 6:30 pm  Anderson 203

Zoom Link: https://wcupa.zoom.us/meeting/register/pFc6iGGUTCqf7iUNJOYlcw

Abstract: In this talk, I’ll share informal reflections on the current state of transitional math courses— intermediate algebra, college algebra, and pre- calculus—within universities and colleges in the U.S. Together, we’ll explore how high school mathematics courses can model and illustrate a learning culture that supports students’ transition into university-level mathematics by emphasizing success, kindness, and human connection.

James Tanton Picture

Dr. James Tanton (PhD, Princeton 1994, mathematics) is an author, a consultant, and an ambassador for the Mathematical Association of America, currently serving as their Mathematician-at-Large. He has taught mathematics both at university and high-school institutions. James is absolutely committed to promoting effective and joyful mathematics thinking, learning, and doing at all levels of the education spectrum.

James writes books, advises on curriculum, consults with teachers, and gives demonstration classes and professional development sessions across the globe, and is founder of the The Global Math Project, an initiative set to transform the entire world’s perception of what mathematics can and should be.

West Chester University Mathematics Colloquium

Presents

James Tanton

Mathematical Association of America

Explode Your Mind with Exploding Dots

Wednesday, March 5th, 2025 4:30pm – 5:30 pm Anderson 203

Zoom Link: https://wcupa.zoom.us/meeting/register/pFc6iGGUTCqf7iUNJOYlcw

Abstract: It’s a global phenomenon in mathematics!  Over 7 million people – students, educators, math enthusiasts – from over 170 countries and territories across the planet are united by the stunning wonder of a common piece of school mathematics.  It’s the story of Exploding Dots.  Let me share this mind-blowing story with you too! 

See the school mathematics you thought you knew so well in an astounding new light.  Witness curriculum mathematics as a portal to human joy, wonder, and awe.

James Tanton Picture

Dr. James Tanton (PhD, Princeton 1994, mathematics) is an author, a consultant, and an ambassador for the Mathematical Association of America, currently serving as their Mathematician-at-Large.  He has taught mathematics both at university and high-school institutions.  James is absolutely committed to promoting effective and joyful mathematics thinking, learning, and doing at all levels of the education spectrum.

James writes books, advises on curriculum, consults with teachers, and gives demonstration classes and professional development sessions across the globe, and is founder of the The Global Math Project, an initiative set to transform the entire world’s perception of what mathematics can and should be.

 

Fall 2024

Speaker Institution Date of Talk Day of Week Time Room
Silvia Heubach Cal State LA 9/11/2024 Wednesday 3:15 PM UNA 161
Alvaro Lozano-Robledo UConn 9/18/2024 Wednesday 3:15 PM UNA 161
Jo Boaler Stanford 9/26/2024 Thursday 4:00 PM Main Hall 168
Andy Fry Lewis and Clark
Chad Topaz Williams College 10/17/2024 Thursday 3:15 PM UNA 158
Scott Parsell WCU 11/6/2024 Wednesday 3:15 UNA 161
Lindsay Devers Millersville 11/13/2024 Wednesday 3:15 UNA 161

 

West Chester University Mathematics Colloquium

Presents

Lindsay Dever

Millersville University

Lindsay Devers Fall 2024 Colloquium Mathematics Image

The Prime Geodesic Race

Wednesday, Nov. 13th, 2024 3:15 – 4:15 pm 25 University Ave, Room 161

Zoom option available:

Zoom Link: https://wcupa.zoom.us/j/93736599742?pwd=4ePTWPH3p8N0q8ByZoGyy0J63knfrC.1

Abstract: Hyperbolic 3-manifolds are strange spaces that defy the laws of Euclidean geometry. One geometric feature of hyperbolic 3-manifolds is the set of closed geodesics, which are the “straight lines” that loop back to themselves. Holonomy measures the amount of twist in a particular geodesic. It turns out that for geodesics of increasing lengths, the angle of holonomy is equidistributed throughout the interval [0,2π]; it is equally likely to land in any interval of a given size. However, in the “prime geodesic race” for compact hyperbolic 3-manifolds, there is a bias towards angles closer to π – the closed geodesics tend to be more twisted. In this talk, I’ll introduce hyperbolic 3-manifolds, share results on bias in the distribution of holonomy, and explain the spectral to geometric correspondence.

Lindsay Devers Fall 2024 Colloquium Photo

Dr. Lindsay Dever is an assistant professor of mathematics at Millersville University. She completed her Ph.D. in 2022 at Bryn Mawr University in Number Theory. Since Fall 2022, she has worked at Millersville University, teaching and studying number theory and hyperbolic geometry.

For more information contact:

jbrazas@wcupa.edu

.

 

 

West Chester University Mathematics Colloquium

Presents

Scott Parsell

West Chester University

Paresell Fall 2024 Colloquium Taxicab Image

Taxicabs and Local Turmoil: How many variables do we need to solve a Diophantine equation?

Wednesday, Nov. 6th, 2024 3:15 – 4:15 pm,  25 University Ave, Room 161

Abstract: An equation is typically referred to as Diophantine when the goal is to find integer solutions. A classic example is the equation 𝑥2 + 𝑦2 = 𝑧2, where the solutions are Pythagorean triples such as (3,4,5) and (5,12,13). If we replace the squares by cubes or higher powers, however, there are suddenly no interesting solutions. The general philosophy here is that polynomial equations in few variables, relative to the degree, should have few (if any) non-trivial integer solutions. For a polynomial equation of degree k, we usually expect that the number of variables required will tend to infinity as k does. A standard example of this phenomenon is provided by Waring’s problem, in which we try to represent integers as sums of kth powers. But when we study the analogous problem for congruences, chaos ensues—the number of variables seems to behave erratically, and we really have no idea what is going on. We plan to describe some of the key analytic tools and recent computational results, with the hope that interested students (or faculty members!) may consider joining the project. Much of the mathematics connects nicely with topics in MAT 514, graduate number theory‐‐ coming on Tuesday nights in Spring 2025.

Parsell Fall 2024 photo

Dr. Scott Parsell is a professor of mathematics at WCU. He received his B.S. in Mathematics from MIT and his Ph.D. from the University of Michigan. Dr. Parsell did postdoctoral work at Texas A&M, Penn State, and Butler and has been at West Chester University since 2009. He is the author of over 24 research papers in number theory.

For more information contact:

jbrazas@wcupa.edu

.

 

 

 Research talk in Tetrahedral Geometry & Topology Seminar

by

Jeremy Brazas

West Chester University

Brazas Fall 2024 Topology Seminar Math Image

Unwinding paths in the plane to form an        R-tree

Friday, Nov. 1st, 4:30 – 5:30 pm  25 University Ave, Room 158

Zoom option available:

Zoom Link: https://wcupa.zoom.us/j/93351748930?pwd=EWWW5srJ8OpV7ONB6QT3bo2CRrZJQH.1

Abstract: When you unwind all paths in a graph up to backtracking, you end up forming a tree that serves as the universal covering space of the graph. In the same way, we can unwind paths in a more complicated one-dimensional space like the Sierpinski Carpet. However, in this case, we end up forming a space called an R-tree, which serves as a kind of generalized universal covering space.

In this talk, I'll survey the evidence that one should also be able to define a suitable notion of "thin" or "one-dimensional" homotopy that makes it possible to unwind all paths in the plane (up to one-dimensional backtracking) to form an R-tree. For instance, a 2010 result of Berestovskii-Plaut shows this is achievable if one restricts to rectifiable paths. We'll also discuss a few fundamental open questions related to covering maps and R-trees that would be answerable if one could decide whether or not an unwinding construction is possible for all paths in the plane. In the second half of the talk, I'll introduce an intricate new planar construction that resulted from ten years of effort and allowed us to solve this problem in 2023. This work is joint with Greg Conner, Curtis Kent, and Paul Fabel.

Jeremy Brazas Colloquium photo

Dr. Jeremy Brazas is an Associate Professor at West Chester University. He completed his PhD in mathematics at the University of New Hampshire in 2011 in algebraic topology. He is the author of various papers in general and algebraic topology and the author of the blog Wild Topology.

For more information contact:

jbrazas@wcupa.edu

 

 

West Chester University Mathematics Colloquium

>

Presents

Chad Topaz

Williams College

From Bytes to Rights: The Fight for Justice in the Era of Data

Thursday, Oct. 17th, 2024 3:15 – 4:15 pm 25 University Ave, Room 158

Abstract: Tens of millions of people in the United States have been directly impacted by the criminal justice system, with nearly half the population affected through close familial or social ties. Alongside the direct harm inflicted by the system, an insidious challenge arises: the system's opaque nature makes pinpointing the specific loci of harm complex and elusive. Echoing the words of civil rights pioneer Ida B. Wells, who stated that "the way to right wrongs is to turn the light of truth upon them," this talk will showcase how data science can be harnessed to expose racial injustice. It will feature case studies spanning various scales and stages of the criminal justice system, including policing in the small municipality of Williamstown, Massachusetts; sentencing across all 94 federal district courts; and the use of criminal risk algorithms in Florida.

 These examples underscore the pivotal role of data science tools in fostering transparency and advancing justice.

Chad Topaz Mathematics Colloquium Fall 2024

Dr. Chad Topaz is a professor of Complex Systems at Williams College. He studied at Harvard and received his Ph.D. at Northwestern University. The author of over 70 published scientific papers and pieces of public scholarship, Chad began his career using mathematics to understand problems in physics, chemistry, and biology. He now focuses on areas such as criminal justice; diversity and inclusion in arts, media, and pop culture; education equity; and health care equity. His work has been covered nationally and internationally in The Atlantic, The Guardian, MIT Technology Review, Mother Jones, Science, Smithsonian Magazine, and more. He is the co- founder of an independent nonprofit organization: Institute for the Quantitative Study of Inclusion, Diversity, and Equity (QSIDE).

Recently, Dr. Topaz received the 2025 Mary and Alfie Gray Award for Social Justice from the AWM.

For more information contact: 

jbrazas@wcupa.edu

.

 

 

West Chester University Mathematics Colloquium

>

Presents

Silvia Heubach

California State University, Los Angeles

Heubach Mathematics Colloquium Image
How to Win in Circular Nim 

(Click here to view the slides from the talk.)

Wednesday, Sept. 11th, 2024 3:15 – 4:15 pm 25 University Ave, Room 161

Abstract: Circular Nim CN(𝑛, 𝑘) is a two-player combinatorial game played on 𝑛 stacks of tokens arranged in a circle. A move consists of selecting 𝑘 consecutive stacks and then removing at least one token (and as many as all tokens) from among the tokens in these stacks. The last player to move wins. In combinatorial games, the main question is to determine if there is a winning strategy from a given position. While results are known for individual CN(𝑛, 𝑘) games for small values of 𝑛 and 𝑘, we are looking to prove results for families of games, such as CN(2𝑛, 𝑛) or CN(𝑛,2). Glimpses of the general, more complicated picture emerged for the game CN(7,4), where there no longer is a single pattern that can be used to determine the winning strategy.

The presentation will include a short introduction to combinatorial games, so no prior knowledge is needed to enjoy this talk.

Heubach photo

Dr. Silvia Heubach is a professor of mathematics at Cal State, LA. She completed her Ph.D. in applied mathematics at USC in 1992 and engages in research in a number of areas, ranging from operations research to modeling to combinatorics. She has been recognized with the CSULA Outstanding Professor Award in 1999 and has received a Distinguished Women Award in 2013 at CSULA. Heubach is also high engaged in collegiate education reform and is now the faculty learning coordinator for a four-year grant funded by the U.S. Department of Education.

For more information contact:

jbrazas@wcupa.edu

.

 

West Chester University Mathematics Colloquium

Presents

Alvaro Lozano-Robledo 

University of Connecticut

Alvaro math photo

Math in the Age of TikTok

Wednesday, Sept. 18th, 2024 3:15 – 4:15 pm  25 University Ave, Room 161

Abstract: In this talk we will talk about the role that social media plays in the public perception of mathematics and, in particular, whether one can use social media platforms, such as TikTok, to move the needle and create engaging mathematical content that has a math-positive spin to counter the prevalent math phobia in society. Specifically, we will discuss certain math questions that seem to generate tremendous amounts of engagement, and we will use these "hot topics" to talk about the very important math concepts behind them. As examples, the presentation will also include some of the speakers' TikToks that have been viewed millions of times.

Alvaro photo

Dr. Alvaro Lozano-Robledo is a professor of mathematics at the University of Connecticut. He completed his Ph.D. at Boston College in 2004 and is an expert in the areas of Number Theory and Arithmetic Geometry. He is the author of two books in these areas and is also an associate editor of the LMFDB, the database of L-functions, Modular Forms, and related objects. Dr. Lozano- Robledo is well known for his social media presence, particularly on YouTube and TikTok.

For more information contact:

jbrazas@wcupa.edu

.

 

West Chester University Mathematics Colloquium

Presents

Jo Boaler

Stanford University

The Role of Mindset Mathematics in the Pursuit of High Achievement and Equitable Outcomes

Thursday, Sept. 26th, 2024 4:00 – 5:00 pm Main Hall 168 (Auditorium)

THIS IS A REGISTRATION EVENT

Abstract: Recent years have seen an explosion of scientific evidence showing that there is a different way to learn, lead and live, available to us all. When people take a mindset approach to learning – in learning and in life – different pathways open, leading to higher, more equitable and more enjoyable achievement. In this session we will consider what this different approach is, thinking about the ways we can teach students mathematics with a growth mindset, to increase equity, engagement, and achievement. We will see together the beauty of mathematics, across the grades, and learn how to bring that beauty to all students.

Jo Boaler Picture

Dr. Jo Boaler is the Nomellini-Olivier Professor of Education (mathematics) at Stanford University. This year, RHSU Edu- Scholar ranked Boaler as the #1 scholar in Curriculum, Instruction, and Administration and the BBC listed her as “one of the 8 educators changing the face of education.” Her former roles include being the Marie Curie Professor of Mathematics Education in England and a maths teacher in London. Her PhD won the national award for educational research in the UK. She is an elected fellow of the Royal Society of Arts (Great Britain), and a former president of the International Organization for Women and Mathematics Education.

She is the recipient of several prestigious awards and the author of eighteen books and numerous research articles. She is also a White House presenter on women and girls. She co-founded www.youcubed.org to give teachers, parents, and students the resources and ideas they need to inspire and excite students about mathematics.

Spring 2024

Spring 2024 Schedule

Speaker Date of Talk Day/Time Institution
John Baez 2/2/2024 Friday
4:30 – 5:30 (Zoom)
UC Riverside
Jeremy Brazas 2/21/2024 Wednesday
3:15 – 4:15
WCU
Pete Clark 3/6/2024 Wednesday
3:15 – 4:15
Univ. of Georgia
Jeff Hatley 3/20/2024 Wednesday
3:15 – 4:15
Union College
Kaitlyn Muller 3/28/2024 Thursday
3:15 – 4:15
Villanova
Shiv Gupta 4/3/2024 Wednesday
3:15 – 4:15
WCU
Jo Boaler   Stanford
Julia Hartmann 4/18/2024 Thursday
3:30 – 4:30
U. Penn.
Frederic Mynard 4/26/2024 Friday
3:00 – 4:00
New Jersey City
Univ.

For more information email:

jbrazas@wcupa.edu

 

WCU Mathematics Student Seminar

Presents

Anastasia Clements

WCU Mathematics Student

Anastasia Clements Spring 2024 Student Seminar Graphic

A Proportionally Geometric Cantor Set

Tuesday, April 30th, 2024 3:00 pm - 4:00 pm 25 University Ave., Room 161

Abstract: The ternary Cantor set is a famous and fundamental construction that appears in various aspects of analysis, topology, set theory. While the ternary construction is the most prominent, variations on the construction produce Cantor sets with different analytic properties. In this talk, I will introduce well-known constructions of Cantor sets and spend most of the time discussing an alternative construction that I developed and analyzed in my capstone mathematics course.

Anastasia Clements is a Mathematics major at West Chester University who has been studying Cantor sets in her capstone course. She plans to being taking graduate courses in the Fall as part of the Accelerated MA Program.

 

West Chester University Mathematics Colloquium

Presents

Dr. Frédéric Mynard

New Jersey City University

Maynard Spring 2024 Colloquium Math Image

A Convergence Manifesto

Friday, April 26th, 2024  3:00 – 4:00 pm UNA 158

Zoom Cast: https://wcupa.zoom.us/j/92405376738?pwd=Q2NmUm03OHlYSjgxOThYNXpRZ1p3dz09

Abstract: The aim of this talk is to convince you, from elementary considerations, that convergence spaces, which are more general than topological spaces, are a most natural and convenient generalization, whose role for topological problems could be compared to complex numbers for problems formulated in the reals.

Maynard Spring 2024 Colloquium Photo

Dr. Frédéric Mynard studied mathematics at the University of Burgundy, Dijon, France, where he obtained his Ph.D. degree in mathematics in 1999. He is the Chair of the Mathematics Department at New Jersey City University. His research interests include general, set-theoretic, and categorical topology, particularly convergence space theory and its applications in topology and analysis.

For more information contact:

jbrazas@wcupa.edu

.

 

 

West Chester University Mathematics Colloquium

Presents

Dr. Julia Hartmann

University of Pennsylvania

Julia Hartmann Spring 2024 Colloquium

Symmetry Groups of Linear Differential Equations

Thursday April 18th, 2024   3:30 – 4:30 pm  UNA 158

Abstract: The aim of this talk is to give an introduction to the Galois theory of linear differential equations. This theory mimics the usual Galois theory for polynomials, and it relates properties of the equation such as solvability to properties of a related group of symmetries. We will also mention a recent result concerning symmetries of differential equations over the complex rational function field.

Dr. Julia Hartmann is the Fay R. and Eugene L. Langberg Professor in Mathematics at the University of Pennsylvania. She completed her Ph.D. at Ruprect-Karls-Universitat Heidelberg. Dr. Hartmann is a prolific author who studies algebraic structures and their symmetries and who has published many papers in the worlds top mathematics journals. She is also active in the Association for Women in Mathematics and GeMs, which supports those in math who identify as gender minorities.

For more information contact:

jbrazas@wcupa.edu

 

 

West Chester University Mathematics Colloquium

Presents

Shiv Gupta

West Chester University

Shiv Gupta Spring 2024 Colloquium Math Image

Galois Groups over ℚ and The Inverse Galois Problem

Wed. April 3rd 2024, 3:15 – 4:15 pm, UNA 158

Abstract: Inverse Galois Theory is concerned with the problem/question: which finite groups appear as Galois groups over the field ℚ. Although this problem in its complete generality remains unsolved but it has been shown that the answer is in affirmative for the class of finite solvable groups and also for the symmetric groups 𝑆n and Alternating groups 𝐴n.

We will discuss some methods of finding the Galois groups of polynomials in ℚ[𝑥] and make some comments about a paper by Erbach, Fischer and McKay: Polynomials with PSL(2,7) as a Galois Group, J. Number Theory 11 (1979).

Shiv Gupta Colloquium Talk Spring 2024 Photo

Dr. Shiv Gupta has been teaching at West Chester University for many years.

He loves traveling and his mathematical interests include Number Theory, Finite Groups and Galois Theory.

For more information contact:

jbrazas@wcupa.edu

.

 

West Chester University Mathematics Colloquium

Presents

Dr. Kaitlyn Muller

Villanova University

Muller Spring 2024 Colloquium Radar Image

Why radar?

Thurs. March 28th 2024  3:15 – 4:15 pm UNA 158

Abstract: In a world with increasing optical image capabilities, like improving iPhone cameras, why is radar data still used to create images? In this talk we’ll discuss what radar is and why it is used in so many applications, from environmental and weather monitoring to military surveillance. We’ll highlight some of the types of mathematics used in modeling radar data and producing radar images.

We’ll also discuss what drew me to research in this area and why I’ve stayed with it for over 10 years now.

Muller Spring 2024 Colloquium Photo

Dr. Kaitlyn Muller is an Associate Professor of Mathematics at Villanova University. She completed her PhD in Applied Mathematics in 2011 at Rensselaer Polytechnic Institute. Previously, she worked as a researcher at the Air Force Research Lab and Colorado State University.

For more information contact:

jbrazas@wcupa.edu

 


 

West Chester University Mathematics Colloquium

Presents

Jeffrey Hatley

Union College

Hatley Spring 2024 Colloquium Math Image

Rational Points on Elliptic Curves over Infinite Extensions

Wed. March 20th 2024       3:15 – 4:15 pm    UNA 158

Abstract: Elliptic curves are among the most-studied objects in modern number theory. The Mordell-Weil theorem says that if 𝐾/𝑄 is an algebraic extension of finite degree, then 𝐸(𝐾), the 𝐾-rational points of 𝐸, form a finitely-generated abelian group, and much work continues to be done on classifying the groups that can arise in this way.

It turns out that, for many infinite extensions 𝐾/𝑄, the group 𝐸(𝐾) remains finitely-generated, and the same sorts of questions can be asked (and sometimes answered) in this new setting.

In this talk, we will begin by introducing the fundamental facts and properties of elliptic curves, so no prior experience with them is necessary. We will then give a survey of some of the active research being done on the structure of 𝐸(𝐾) in both the finite- and infinite-degree settings.

Hatley Spring 2024 Colloquium Photo

Dr. Jeffrey Hatley is an Associate Professor of Mathematics at Union College in Schenectady, NY. He completed his PhD in 2015 at UMass Amherst and works in the field of number theory. Hatley is the author of several research papers and is highly active in research with students.

For more information contact: 

jbrazas@wcupa.edu

 

 

West Chester University Mathematics Colloquium

Presents

Pete Clark

University of Georgia

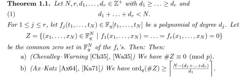
A Group‐Theoretic Ax‐Katz Theorem

Wednesday, March 6th 2024 Time: 3:15 – 4:15 pm UNA 158

Zoom Cast: https://wcupa.zoom.us/j/99232077993?pwd=aFZVcjBZUzgzV2l2UERHYkU5N2gxUT09

 

Abstract: The Chevalley-Warning Theorem is a result from 1935 asserting that the number of solutions to a low degree polynomial system over a finite field is divisible by the characteristic of the field. It is an important result -- it includes a conjecture of Artin and Dickson from the 1920's -- but it is not difficult to prove: the original proof is about three pages. In 1964, James Ax gave a completely elementary ten line proof. In the same paper, Ax showed that as the number and degrees of the polynomials are held fixed and the number of variables increases, not only is the size of the solution set divisible by p but by higher and higher powers of p. The best possible p-adic divisibility here was given in 1971 by Nicholas Katz. Katz's proof is at a much higher level: you need specialist knowledge in the right subfields of number theory to understand it. Simpler proofs were found later, but none fulfills the fantasy of generalizing Ax's ten line proof of Chevalley- Warning.

A 2021 work of Aichinger-Moosbauer develops a fully fledged calculus of finite differences for maps between commutative groups and uses it to give a purely group-theoretic generalization of Chevalley-Warning. Nicholas Triantafillou and I have used and extended this work: up to a few black boxes (where most of the content is indeed hidden) we give a ten line proof of a group- theoretic analogue of Ax-Katz that "qualitatively fulfills my fantasy."

Clark Equation Spring 2024 Colloquium

Clark Photo Spring 2024 Colloquium

Dr. Pete L. Clark is a Professor of Mathematics at the University of Georgia. Following two degrees at the University of Chicago, he completed his Ph.D. in 2003 at Harvard University under Barry Mazur. He is the author of over 65 research papers in number theory and arithmetic geometry. Dr. Clark is also well- known for his extensive expository writing.

For more information contact:

 jbrazas@wcupa.edu

West Chester University Mathematics Colloquium

Presents

Jeremy Brazas

West Chester University

Jeremy Brazas Spring 2024 Colloquium Image

The Cantor Set: making math weird for 150 years

Wednesday Feb. 14th, 2024  3:15 – 4:15 pm UNA 158

Zoom Cast: https://wcupa.zoom.us/j/9344618 5037?pwd=V2RRRkZNTVI0SnQ5Sl BUOHNFbi9XZz09

Abstract:  This year marks the 150th anniversary of the first construction of the “Cantor Set” by Henry J.S. Smith. The Cantor Set plays an important role in many areas of mathematics, including Set Theory, Topology, and Analysis. This talk will include an undergraduate-friendly introduction to the Cantor Set and we’ll explore several consequences of its existence.

I’ll also describe how the Cantor Set helped my colleagues and I solve a difficult topological problem living at the border of dimensions 1 and 2. In 2011, Jerzy Dydak asked if a map over a disk that lifts all paths uniquely relative to their starting point must be bijective or if one can “pull apart” all paths in a disk up to back- tracking to form a tree-like space called an ℝ-tree. After years of effort, it remained unclear even if one should conjecture “yes” or “no” to this question. However, this problem was resolved this year in collaboration with Greg Conner, Paul Fabel, and Curt Kent using a new Cantor-Set inspired construction.

Jeremy Brazas Spring 2024 Colloquium Photo

Dr. Jeremy Brazas is an Associate Professor at West Chester University. He completed his PhD in mathematics at the University of New Hampshire in 2011 in algebraic topology. He is the author of various papers in general and algebraic topology and the author of the blog Wild Topology.

For more information contact:

jbrazas@wcupa.edu

 

 

 The Tetrahedra Geometry & Topology Seminar

and

West Chester University Mathematics Colloquium

Present

John Baez

UC Riverside

John Baez Colloquium Spring 2024 Image
“Two of my favorite numbers: 8 and 24"

Friday, February 2, 2024    4:30 pm - 5:30 pm, via  Zoom or come watch in- person at a pizza watch party in Anderson 203!

Zoom Link: https://wcupa.zoom.us/j/93954148807?pwd=aXJX MCtUaXBoTFZjSWNiY0ZFbWlHZz09

Abstract: The numbers 8 and 24 play special roles in mathematics. The number 8 is special because of Bott periodicity, the octonions and the E8 lattice, while 24 is special for many reasons, including the binary tetrahedral group, the Dedekind eta function, and the third stable homotopy group of spheres. The number 8 does for superstring theory what the number 24 does for bosonic string theory. In this talk, which is intended to be entertaining, I will overview these matters and also some intriguing connections between the numbers 8 and 24.

John Baez Photo Spring 2024 Colloquium

Dr. John Baez is a mathematical physicist and Professor Emeritus at UC Riverside. He received his PhD at MIT in 1986 under Irving Segal. His research includes work on spin foams in loop quantum gravity, applications of higher categories to physics, and applications of categories in network theory. Baez is the author of This weeks finds in mathematical physics and is a co-founder of the n-Category café. He won the 2013 Levi L. Conant Prize for his expository paper "The algebra of grand unified theories". Baez was named a Fellow of the AMS for contributions to higher category theory and mathematical physics, and for popularization of these subjects.

Fall 2023

Fall 2023 Schedule

Speaker Date of Talk Day of Week Institution
Krishnaswami Alladi

9/22/2023

Friday

3:15 – 4:15

Univ. of Florida
Sean Bastian

9/27/2023

 

Wednesday

3:30 – 4:30

WCU Graduate Student
Ron Umble 10/4/2023

Wednesday

3:30 – 4:30

Millersville
Allison Henrich 10/23/2023

Monday

3:15 – 4:15

Seattle University, MAA Focus Editor
Jimmy McLaughlin 11/1/2023

Wednesday

3:30 – 4:30

WCU
Jimmy McLaughlin 11/8/2023

Wednesday

3:30 – 4:30

WCU
Marissa Loving 11/16/2023

Thursday

3:30 – 4:30

University of Wisconsin (Madison)
Peter Zimmer 11/29/2023

Wednesday

3:30 – 4:30

WCU

Titles and abstracts will be announced prior to talks.

Please attend and encourage your students to attend!
For more information email: jbrazas@wcupa.edu

Fall 2023 Schedule - PDF Version    

  

West Chester University Mathematics Colloquium

Presents

Marissa Kawehi Loving

University of Wisconsin-Madison

Loving Colloquium Fall 2023 Math Picture
From dimension 2 to 3 and back again

Thursday, November 16, 2023 3:30 pm ‐ 4:30 pm  25 University Avenue, Room 162

Abstract: In this talk, I’ll begin by telling a little bit of Thurston’s beautiful story connecting the dynamics of finite-type surface homeomorphisms with the geometry of 3- manifolds. I will then share some more recent work of myself and others which connect the dynamics of infinite-type surface homeomorphisms with the geometry of 3- manifolds. My aim is for the talk to be accessible to a broad audience with many illustrations to help us build our intuition without getting too far into the technical weeds.

Marissa Loving Fall 2023 Colloquium

Dr. Marissa Kawehi Loving is an Assistant Professor of Mathematics and a Nellie Y. McKay Fellow at the University of Wisconsin-Madison. In 2019, she graduated with her PhD from the University of Illinois. She is the first Native Hawaiian woman to earn a PhD in mathematics. Dr. Loving was also a NSF Postdoc and Hale Assistant Professor at Georgia Tech. Her research interests are in geometric group theory and low-dimensional topology, especially mapping class groups of surfaces. She is also deeply invested in making the mathematics community a more equitable place.
Some of her work includes mentoring undergraduate research with Summer@ICERM, MSRI-UP,  and GA Tech REUs and co-organizing the SUBgroups and paraDIGMS initiatives.

For more information contact:

jbrazas@wcupa.edu


West Chester University Mathematics Colloquium

Presents

James Mc Laughlin
West Chester University
 Graph of the Dedekind Eta Function

Vanishing Coefficients in the Series Expansion of Lacunary Eta Quotients

Wednesday, November 8, 2023 3:30 – 4:30  25 University Avenue, Room 162

Abstract:  For \(|q|<1\), define
$$
       (q;q)_\infty := (1-q)(1-q^2)(1-q^3)\cdots,
          f_1 := (q;q)_\infty \hspace{25pt}  f_j := (q^j;q^j)_\infty
$$Notice that the series expansion for \(f_1\),
\( f_1= (q;q)_\infty =1-q-q^2+q^5+q^7-q^{12}-q^{15}+q^{22}+q^{26}\)\( -q^{35}-q^{40} +q^{51}+q^{57}-q^{70}-q^{77}+q^{92}+q^{100}\)\( -q^{117}-q^{126}+q^{145}+q^{155}-q^{176}-q^{187} \dots \)
 has most coefficients equal to 0, and in fact satisfies the definition of being lacunary.

Definition. The series \(\sum_{n=0}^{\infty} c(n)q^{n}\) is  lacunary if
\[
 \lim_{x\to \infty} \frac{|\{n \mid 0 \le n \le x,  c(n) = 0\}|}{x} = 1.
\]

 Serre showed that \(f_1^r\) is lacunary for an even positive integer \(r\) if and only if  \(r\in \{2,4,6,8,10,14,26\}\).

 Han and Ono proved the following theorem:
Theorem (Han and Ono 2011)
Define the sequences \(\{a_n\}\) and \(\{b_n\}\) by \[f_1^8 =:\sum_{n=0}^{\infty}a_nq^n,
\,\,\,  \frac{f_3^3}{f_1}=:\sum_{n=0}^{\infty}b_nq^n,
\]Then  \[
     a_n = 0 \Longleftrightarrow
b_n = 0.
 \] Moreover, we have that \(a_n = b_n = 0\) precisely for those non-negative \(n\) for which \(ord_p(3n+1)\) is odd for some prime \(p \equiv 2 \pmod 3\).

In this situation we say that \(f_1^8\) and \(f_3^3/f_1\) have identically vanishing coefficients.

The present talk presents the results of an in-depth investigation by the speaker and his collaborators (Tim Huber (University of Texas, Rio Grande Valley) and Dongxi Ye (Sun Yat-sen University, Guangdong, People's Republic of China) into the topic of lacunary eta quotients with identically vanishing coefficients (an eta quotient being a finite product of the form \(\prod_j f_j^{n_j}\), for some \(j\in \mathbb{N}\) and some \(n_j\in \mathbb{Z}\), with a product with all \(n_j>0\) being termed an eta product).

James Mc Laughlin

James Mc Laughlin received his PhD from the University of Illinois at Urbana-Champaign in 2002. His mathematical papa is Douglas Bowman and his thesis topic concerned the convergence of q-continued fractions  inside, outside and on the unit circle. His research is mainly in the areas of basic hypergeometric series, integer partitions, continued fractions and more recently, modular forms. He has published 55 papers (as of October 2023) and one book, Topics and Methods in q-series.

 

For more information contact:

jbrazas@wcupa.edu

 

West Chester University Mathematics Colloquium

Presents

James Mc Laughlin
West Chester University
 Graph of the Ramanujan tau function

What is Mathematics?

Wednesday, November 1, 2023 3:30 – 4:30  25 University Avenue, Room 162

Abstract: This is non-specialist talk aimed in part at non-mathematicians who are curious about what mathematics is, and partly at students interested in mathematics who are also wondering what mathematicians do apart from teaching, and are also curious about the nature of mathematical research. Thus, there are several purposes in giving this talk:

  • To say a little about what mathematics is, from a philosophical point of view.
  • To attempt to provide a picture for non-mathematicians of the kinds of things mathematicians spend their time on.
  • To attempt to provide a picture for students thinking of pursuing a career in mathematics of how mathematicians spend their time.
  • To demonstrate how most mathematicians work in a very localized area of mathematics.
  • To provide an overview of the particular area of mathematics in which I do research.
  • To indicate the importance of computer algebra systems  to my own research.

James Mc Laughlin

James Mc Laughlin received his PhD from the University of Illinois at Urbana-Champaign in 2002. His mathematical papa is Douglas Bowman and his thesis topic concerned the convergence of q-continued fractions  inside, outside and on the unit circle. His research is mainly in the areas of basic hypergeometric series, integer partitions, continued fractions and more recently, modular forms. He has published 55 papers (as of October 2023) and one book, Topics and Methods in q-series.

 

For more information contact:

jbrazas@wcupa.edu

 

 

West Chester University Mathematics Colloquium


Presents

Allison Henrich

Seattle University, Editor of MAA FOCUS

Henrich Fall 2023 Colloquium Knots Picture

How to turn your knots from blah into Fabulous

Monday, October 23, 2023 3:15 pm - 4:15 pm 25 University Avenue, Room 162

Abstract: Are you tired of tying boring old shoelace knots? Frustrated with messy knots in your spaghetti that are impossible to undo? Wish you could make friends and influence people with your amazing knot- tying ability? Then come to this spectacular knot (un)tying workshop! You’ll learn to harness the pow er of mathematics and the fourth dimension to unlock the secrets of knots. Discover how to make tangled up messes magically disappear and make knots apparate out of thin air. But wait! There’s more! Impress your friends and family with fancy phrases, like “persistent tangle” and “Reidemeister moves.” Make your rivals wish they had come to the WCU Math Colloquium! Come join us, and all your wildest dreams will come true.

Henrich Fall Colloquium Picture of Speaker

Dr. Allison Henrich is a Professor of Mathematics at Seattle University. She completed her Ph.D. at Dartmouth in 2008. She is the current editor of MAA FOCUS, the newsmagazine of the Mathematical Association of America. She is also the author or editor of several books, including A Mathematician's Practical Guide to Mentoring Undergraduate Research, An Interactive Introduction to Knot Theory, and the Encyclopedia of Knot Theory. In 2022, Living Proof: Stories of Resilience Along the Mathematical Journey, a book she co-edited, won the MAA's Euler Book Prize. In 2015, Allison was honored to be a recipient of both the Mathematical Association of America's Henry L. Alder Award for excellence in teaching and the Halmos-Ford Award for expository excellence. She won the Halmos-Ford Award a second time, in 2020. Allison helped to establish and is currently an editor of the MAA Math Values Living Proof Blog.

For more information contact:

jbrazas@wcupa.edu

 

 

 

West Chester University Mathematics Colloquium

Presents

Ron Umble

Millersville University

Image from Umble Colloquium Flyer Fall 2023
Comparing Diagonals on the Associahedra


Wednesday, October 4, 2023 3:30 pm - 4:30 pm 25 University Avenue, Room 158

Abstract: Saneblidze and I were the first to construct a combinatorial diagonal on the associahedra (2004). Markl and Shnider proved the “Magical Formula” for the diagonal proposed by J-L Loday (2006). Masuda, Thomas, Tonks, and Vallette gave a set theoretic construction, which descends to the “Magical Formula” (2021). In this talk I will outline a proof that our diagonal is identical to the one given by the “Magical Formula” (S-U 2022). This result is useful because our combinatorial diagonal is easy to compute in low dimensions.

Ron Umble photograph, from Fall 2023 colloquium

Dr. Ron Umble is a Professor Emeritus at Millersville University. Dr. Umble completed his PhD in 1983 under Jim Stasheff and works in the field of algebraic topology.

Recently retired, he has served as a professor at MU since 1984. In addition to many research papers and expository articles, he is the author of the book “Transformational Plane Geometry” and has advised countless students in research projects.

For more information contact:

Dr. Jeremy Brazas

.

West Chester University Mathematics Colloquium

Presents

Sean Bastian

West Chester University Graduate Program

Picture of Leibniz from Bastian Talk Flyer

Leibniz’s Rule and its Applications

Wednesday, September 27, 2023 3:30 pm - 4:30 pm 25 University Avenue, Room 158

 

Abstract: There are many methods of integration. One method that’s regularly taught is Change of Variable (U-Substitution) in which one differentiates a part of the function and by doing so, it makes the integral easier to solve. But what if there were cases where integrating the entire function with respect to some variable would make the integral easier to solve? Under certain conditions, Leibniz’s Integral Rule (for differentiation under the integral sign) allows us to do just that. In this talk, we will define Leibniz’s Integral Rule and its conditions, provide examples on how to apply the rule for certain integrals, and explore its limitations.

Integral equation from Bastian talk flyer

For more information about this and other upcoming colloquia, Please email

Dr. Jeremy Brazas

.


.

 

West Chester University Mathematics Colloquium

Presents

Professor Krishanswami Alladi

University of Florida

Alladi and Erdos                                 Two pictures of Erdos

My Association and Collaboration with Paul Erdös, A Legend of 20th Century Mathematics

Friday, September 22, 2023    3:15 - 4:15 pm,  25 University Avenue, Room 161


Abstract: Paul Erdös was one of the most influential mathematicians of the 20th century. Author of more than 1500 papers, he made pioneering contributions to number theory, combinatorics, and graph theory. Two of his most celebrated results are the Erdös-Kac Theorem which led to the creation of Probabilistic Number Theory, and the Elementary Proof of the Prime Number Theorem jointly with Selberg. In describing the remarkable life and works of Erdös, the fascinating story of these two great contributions will be narrated. I will also describe how I met Erdös - that too an incredible story, how we collaborated on some fundamental problems in number theory, and how he played a pivotal role in my career. The talk will be accessible to non-experts and students. 

Some biographical information about Professor Alladi may be found here

For more information about this and other upcoming colloquia, Please email

Dr. Jeremy Brazas

.

Spring 2023

Spring 2023 Mathematics Colloquium

Dr. Michael J Hirsch


ISEA TEK, LLC

Hirsch Spring 2023 Colloquium image

A not-so random walk through the world of operations research


Thursday, April 27 | 3:30 PM | Anderson 203

Abstract: Throughout the world, optimization problems abound. They are found in mundane tasks and monumental challenges. They are encountered in man-made systems and in nature. Some of these problems are easy to solve; some quite complex. In this presentation, we will begin with an overview of operations research, discuss some examples of optimization that is present in nature, and finally explore some interesting real-world optimization problems.

About Dr. Hirsch: Dr. Michael J. Hirsch is a proud West Chester University of Pennsylvania alumnus with a B.A. in Mathematics and Computer Science. He holds an M.S. in Applied Mathematics from the University of Delaware and a Ph.D. in Industrial and Systems Engineering (Operations Research focus) from the University of Florida. Dr. Hirsch served as Senior Principal Scientist for Raytheon Technologies until 2014. While at Raytheon, he led small and large engineering teams, developed cutting-edge research, and transitioned that research into fielded programs for the Department of Defense. In 2014, he founded ISEA TEK, where he continues to serve as President and Chief Technologist. The company develops technologies using mathematically rigorous techniques from operations research, machine learning, and artificial intelligence. In the past nine years, Dr. Hirsch has personally grown ISEA TEK and has been awarded multiple government contracts from the Office of Naval Research, the Naval Air Systems Command, and the Defense Threat Reduction Agency. The company has also worked with several Fortune 100 companies. In 2022, Dr. Hirsch founded and serves as CEO of the software development company TOXEUS Systems. The company develops cloud-based technologies to solve the world’s most challenging optimization problems.


Dr. Hirsch has published 58 peer-reviewed journal articles, book chapters, and conference proceedings, edited three books, holds five patents, and has presented his research 96 times at national and international conferences. He has received numerous awards throughout his life, including: the University of Florida Gator100 Award (2023) and the Raytheon Mentoring Excellence Award (2013). Dr. Hirsch will also be the recipient of the West Chester University Distinguished Alumni Award in April 2023.


For further information, please email

mfisher@wcupa.edu

 

West Chester University
Spring 2023 Mathematics Colloquium
Rebecca Milley
MEMORIAL UNIVERSITY
Milley Spring 2023 Colloquium Image
Lessons in Losing: Misere-play Combinatorial Game Theory


Monday, April 24 | 3:30 PM
Anderson 304


Abstract: Combinatorial games are pure strategy games of perfect information and no chance. Under normal play, a player wins by making the last legal move. Under misere play, a player wins by "losing" on purpose: forcing the opponent to take the last move. Normal-play games form a partially-ordered abelian group with a natural addition operation and nontrivial relations of equality and inequality; but under misere play, much of the algebraic structure falls apart. This talk will give a general introduction to combinatorial game theory and discuss recent developments and current open problems in misere game theory.


For further information, please email

mfisher@wcupa.edu

 

 

Trachette Jackson Spring 2023 Colloquium Flyer

(Click on the picture to access the Zoom link.)

Multiscale Models for Understanding Tumor-Immune Dynamics and Optimizing Immune and Targeted Therapy Schedules


Wednesday, April 12 | 2:00 PM | Anderson 304


Abstract:  Increased understanding of molecular mechanisms that mediate the pathogenesis of cancers is leading to careful manipulation of these pathways and the development of new cell-specific approaches to cancer therapy.  At the same time, advances in cancer immunotherapy have led to the reemergence of their clinical use and effectiveness.  Using data-driven computational models is a powerful and practical way to optimize novel combinations of these two very different therapeutic options for clinical cancer treatment.  This talk will highlight a suite of multiscale mathematical models designed to optimize targeted drug treatment strategies, alone and in combination with immunotherapy.    Together with existing and newly generated experimental data, these mathematical models are poised to improve the ability to combine promising drugs for clinical trials and reduce the time and costs associated with transitioning novel therapeutic approaches from "equations to bench to bedside.”

Trachette L. Jackson earned her Ph.D. in Applied Mathematics from the University of Washington under the direction of Professor James D. Murray, one of the founding leaders in the field of Mathematical Biology.   Ten years later, after postdoctoral positions at the Institute for Mathematics and its Applications at the University of Minnesota and Duke University, she was promoted to Full Professor of Mathematics at the University of Michigan.  Dr. Jackson is an award-winning teacher-scholar whose research in mathematical oncology has received international attention.  In 2003, she became the second African American woman to receive the prestigious Alfred P. Sloan Research Award in Mathematics.  In 2005, Dr. Jackson received the James S. McDonnell 21st Century Scientist Award, and in 2008 Diverse Magazine honored her as one of the year’s Emerging Scholars.  In 2010 she became the first woman to receive the Blackwell-Tapia Prize, which recognizes a mathematician who has contributed significantly to research and has served as a role model for mathematical scientists and students from underrepresented minority groups.  More recently, Dr. Jackson was voted into the inaugural class of Association for Women in Mathematics (AWM) Fellows, the 2021 class of the Society of Industrial and Applied Mathematics (SIAM) Fellows, and the inaugural class of Simon’s Foundation Fellows, an honor featured in the NY Times.

Dr. Jackson’s research lies within the overarching field of mathematical biology, which can be characterized by the use of sophisticated mathematical, statistical, and computational modeling techniques to facilitate a deep understanding of biology for human benefit and the mitigation of human harm. Within Mathematical Biology, she specializes in Computational Cancer Research or Mathematical Oncology.  Mathematical and computational modeling approaches have been applied to every aspect of tumor growth from mutation acquisition and tumorigenesis to metastasis and treatment response.  Dr. Jackson’s research focuses on developing mathematical methods to address critical questions associated with tumor progression and targeted therapeutics. Dr. Jackson has built her career on collaborative research and educational activities that cut across traditional disciplinary boundaries. She envisions that this type of research will eventually change the face of cancer research. 

 

The Tetrahedral Geometry and Topology Seminar &
Spring 2023 WCU Mathematics Colloquium

present

CURTIS KENT

Brigham Young University

Curtis Kent Colloquium Picture 1

Curtis Kent Colloquium Image 2

 

“Inverse Limits of Covering Spaces”

Abstract: Traditionally, covering spaces have been a central tool for understanding fundamental groups of spaces. However, for complicated spaces many subgroups of the fundamental group do not correspond to covering spaces. Here we will consider inverse limits of covering spaces, which we call pro-coverings, of both CW-complexes and more general spaces. Pro-coverings give an additional tool to study the fundamental group of complicated spaces. We will show that pro-coverings are often path-connected and can be constructed as a quotient of the path space. We will use a specific pro-covering to construct a splitting of the first homology of Peano continua.

Curtis Kent is an Associate Professor of Mathematics at Brigham Young University. Dr. Kent completed his Ph.D. at Vanderbilt University under Mark Sapir. He was also a postdoctoral fellow at the Courant Institute of Mathematics at NYU and at the University of Toronto. His main research interest is local algebraic topology and geometric group theory, specifically coarse invariants of groups.


For further information e-mail

jbrazas@wcupa.edu
West Chester University
Spring 2023 Mathematics Colloquium

presents

Emma Bailey

The City University of New York

Riemann Zeta Function image for Bailey Spring 2023 Colloquium

“Modelling the Riemann Zeta Function”

Monday, February 6, 2023 from 3:30 to 4:20PM
Anderson 304

The Riemann zeta function is one of the most important functions in number theory, and the subject of one of the most famous conjectures in mathematics: the Riemann hypothesis. In this talk, I will discuss how we can understand how the Riemann zeta function behaves using tools from probability, random matrix theory, and (of course!) number theory. I will give an overview of some of the important recent contributions to the field, as well as what is still to be understood.

Emma Bailey is a Research Associate at the City University of New York. After her PhD at the University of Bristol supervised by Prof. Jon Keating, she has held fellowships at the Heilbronn Institute of Mathematical Research as well as the Mathematical Sciences Research Institute. Her research interests include number theory, probability, random matrix theory, and numerics.

For further information e-mail

mfisher@wcupa.edu

 

Fall 2022

Fall 2022 Mathematics Colloquium

presents

Colm Mulcahy

Spelman College

Colm Mulcahy Fall 2022 one two many picture

“One, Two, Many (or a dozen reasons why mathematics isn’t as easy as 1,2,3)”

Friday, November 18, 2022, from 2:00 to 2:50PM
Anderson 211

Are there really primitive tribes whose system of counting goes: One, Two, Many, ... indicating that from three on it’s more or less a blur? Maybe we modern humans are such a tribe. Despite the sophistication we see in ourselves compared with our less advanced ancestors from times long past, it’s surprising how little progress we’ve made in addressing some basic problems in 3D or beyond, or when solving seemingly simple equations in ≥3 variables. We’ll survey a dozen fun topics in shapes and numbers and patterns whose basics and generalisations can be explored with little mathematical background, and which speedily lead to “what if?” questions ranging from easy to tricky to “we just don’t know.” Fruit, cakes, doughnuts, bagels, coins, boxes, cubes, primes, squares, and sums involving powers will all make appearances. Once or twice, we will stray into deeper waters and touch on more sophisticated topics.

Colm Mulcahy is Professor Emeritus of Mathematics at Spelman College, Atlanta, GA, where he taught between 1988 and 2020. He served as chair of the department of mathematics there 2003-06. As of spring 2022, he is splitting his time between Ireland and the USA. He's always reachable on email (

colm@spelman.edu

).

For further information e-mail

mfisher@wcupa.edu

.

 

Fall 2022 Mathematics Colloquium

presents

Colm mulcahy

Spelman College

Colm Mulcahy Card Tricks picture

“Mathematical Card Tricks”

Thursday, November 17, 2022, from 3:00 to 3:50PM
Anderson 211

Amaze and amuse your family and friends armed with just a deck of cards and a little insider knowledge.

Mathematics underpins numerous classic amusements with cards, from forcing to prediction effects, and many such tricks have been written about for general audiences by popularizers such as Martin Gardner. The mathematics involved ranges from simple “card counting” (basic arithmetic) to parity principles, to surprising shuffling fundamentals (Gilbreath and Faro) discovered in the second half of the last century.

We’ll discuss several original and totally different principles discovered since 2000, as well as how to present them as entertainments in ways that leave audiences (even students of mathematics) baffled as to how mathematics could be involved.

BYOC (Bring Your Own Cards)!

Colm Mulcahy is Professor Emeritus of Mathematics at Spelman College, Atlanta, GA, where he taught between 1988 and 2020. He served as chair of the department of mathematics there 2003-06. As of spring 2022, he is splitting his time between Ireland and the USA. He's always reachable on email (

colm@spelman.edu

).

For further information e-mail

mfisher@wcupa.edu

.

 

West Chester University
Fall 2022 Mathematics Colloquium

presents

Michael J. Fisher

West Chester University

Fisher Fall 2022 Colloquium Image

"Olympic Games: Three Impartial Games with Infinite Octal Codes"

Abstract: In this talk we will look at the most famous impartial game of all, Nim. We will see how a related game, Wythoff, incorporates the concept of a Beatty sequence into this framework. From there, we will introduce the notion of octal game and analyze three subtraction games with infinite octal codes, showing how to play each game to win.

This talk is based on work which started before COVID.

For further information e-mail

mfisher@wcupa.edu

.

 

Fall 2022 Mathematics Colloquium

presents

Jim Coykendall

Clemson University

Coykendall Fall 2022 Seminar Image

“Exploring Some Pathologies in Factorization Via Examples”

Wednesday, October 26, 2022 from 3:00 to 3:50PM
Anderson 211

Factorization, that is, the way objects decompose multiplicatively, is a central notion in algebra. Its fundamental role makes it one of the earliest topics of study (usually first seen in a primitive form in high school). UFDs are often studied at the beginning abstract algebra level as they are the domains where the Fundamental Theorem of Arithmetic holds (specifically, every nonzero nonunit of the domain can be factored uniquely into primes). But the study of factorization goes far deeper than the niceness of UFDs and this is what we will explore. Mostly through examples, we will look at domains with exotic factorization properties in the zoo of commutative algebra and produce a couple of surprising examples and theorems. As a teaser, we ask if you can think of a domain where not everything factors into irreducibles. Can you think of a domain where there are no irreducibles at all? How about a ring with no irreducibles with polynomials that are irreducible?  We will explore these questions and more. This talk will lean heavily on examples rather than rigorous proof to give the audience and intuitive “big picture” of some of the beauty of this field.

Jim Coykendall is a Professor of Mathematics at Clemson University. He obtained his BS from Caltech in 1989 and his PhD from Cornell University in 1995. He spent a year at Lehigh University as the C. C. Hsiung Visiting Professor of Mathematics and then 17 years at North Dakota State University where he won a number of awards for teaching and research as well as serving as chair of the department. In 2013 he came to Clemson as chair and has been a professor for the past 6 years. He has graduated 13 PhD students and is currently mentoring 9.

For further information e-mail

mfisher@wcupa.edu

 

Fall 2022 Mathematics Colloquium

presents

sunita chepuri

Lafayette College

Chepuri Fall 2022 Colloquium image

“Total Positivity and Networks”

Thursday, September 22, 2022 from 3:00 to 3:50PM
Anderson 211

Given a matrix, we can define a family of functions called minors that are polynomials in the matrix entries. If all minors of a matrix are nonnegative, a matrix is called totally nonnegative. We investigate the relationship between totally nonnegative matrices and planar directed networks, including results of Lindstrom and Brenti. We then discuss Alex Postnikov's generalizations of these results and my own work building on this theory.

Sunita Chepuri got her BA in math, with a minor in government, from Bowdoin College. She then attended the University of Minnesota for graduate school, where she was heavily involved with the combinatorics REU program and the Mathematics Project at Minnesota. After finishing her PhD, Sunita did a postdoc at the University of Michigan as a fellow with the Center for Inquiry-Based Learning. She has an active research program and has given presentations at conferences around the world. Sunita also enjoys eating ice cream, working out, and running a fantasy league for The Bachelor.

For further information e-mail

mfisher@wcupa.edu

Spring 2022

Spring 2022 Mathematics Colloquium

presents

Catepillan Colloquium Spring 2022

Click on the picture to open the Zoom link registration.

 

Crawford Colloquium Flyer Spring 2022

Spring 2022 Mathematics Colloquium

presents

Shiv Gupta

West Chester University

“Bernoulli Numbers”

Friday, March 25, 2022 from 3:15 to 4:05PM
UNA 161

While teaching “Computing Area as the Limit of Approximations”, in Calculus II we come across the sums like

Gupta Spring 2022 Colloquium Equations Picture

The problem of finding such formulas was considered by Jacob Bernoulli (1654-1705) which subsequently led to the introduction and study of what are now called Bernoulli Numbers. About his discovery of the formulas for these numbers, Jacob Bernoulli wrote:

With the help of these formulas it took me less than half of a quarter of an hour to find that the 10th powers of the first 1000 numbers being added together will yield the sum

91,409,924,241,424,243,424,241,924,242,500

We now know that Bernoulli Numbers were also independently discovered by Japanese Mathematician Seki Takakazu and his discovery was posthumously published in 1712 in his work Katsuyo Sampo where as Jacob Bernoulli's was published (also posthumously), in his Ars Conjectandi in 1713.

We shall discuss some properties of Bernoulli Numbers and talk about a conjecture and its resolution, using Kummer's Congruence, concerning the numerators of some Bernoulli Numbers.

For further information e-mail

mfisher@wcupa.edu

 

 

West Chester University

Tetrahedral Geometry Seminar Logo

Presents

Rylee Lyman

Rutgers University-Newark

Lyman Colloquium Spring 2022 picture

“Train track maps on graphs of groups and CTs for free products”

Friday, March 4th, from 4:30 – 5:25 PM
West Chester University, Anderson Hall 211

A homotopy equivalence of a graph is a train track map when it sends vertices to vertices and the restriction of any iterate of the map to an edge yields an immersion. (Relative) train track maps were introduced by Bestvina and Handel in 1992; since then they have become one of the main tools in the study of outer automorphisms of free groups. More recently in 2011, Feighn and Handel introduced a stronger kind of relative train track map called a CT and proved their existence for all outer automorphisms of free groups after passing to a power. We extend the theory of relative train track maps to certain graphs of groups and the theory of CTs to free products (that is, graphs of groups with trivial edge groups).

Rylee Lyman earned their PhD in Mathematics a Tufts University, studying with Kim Raune. Currently, Rylee is working with Lee Moser as a postdoc at Rutgers-Newark.

For further information e-mail:

Jeremy Brazas

 

West Chester University
Spring 2022 Mathematics Colloquium

presents

Tai-Danae Bradley

Sandbox@Alphabet

Bradley Spring 2022 Colloquium Image

“Entropy + Algebra + Topology = ?”

Friday, February 25, 2022 from 3:15 to 4:05PM
Anderson 211

In this talk, I’ll describe a small connection between information theory, abstract algebra, and topology. It is based on a recently discovered correspondence between Shannon entropy and functions on topological simplices that satisfy an equation akin to the Leibniz rule. The correspondence relies heavily on a particular operad, which is an abstract tool with origins in algebraic topology. Explicitly, the theorem gives a new way to think about Shannon entropy from a pure mathematical perspective: it can be thought of as a derivation of the operad of probabilities. My goal in this talk is to explain what these words mean and why one might find this new result interesting.

Tai-Danae Bradley is a research mathematician at Sandbox@Alphabet and a visiting research professor of mathematics at The Master’s University. She earned a PhD in mathematics from the CUNY Graduate Center and is the creator of Math3ma, a blog that seeks to distill higher mathematics in accessible ways. She is also a former co-host of the PBS YouTube channel “Infinite Series” and coauthor of the book Topology: A Categorical Approach. Her research interests include category theory, quantum physics, and machine intelligence.

For further information e-mail

mfisher@wcupa.edu

 

West Chester University
Spring 2022 Mathematics Colloquium

presents

Melanie Mitchell

The Santa Fe Institute

Mitchell Colloquium Image

“Why AI is Harder Than We Think”

Wednesday, February 9, 2022 from 4:00 to 4:50PM

Since its beginning in the 1950s, the field of artificial intelligence has cycled several times between periods of optimistic predictions and massive investment (“AI Spring”) and periods of disappointment, loss of confidence, and reduced funding (“AI Winter”). Even with today’s seemingly fast pace of AI breakthroughs, the development of long-promised technologies such as self-driving cars, housekeeping robots, and conversational companions  has turned out to be much harder than many people expected. One reason for these repeating cycles is our limited understanding of the nature and complexity of intelligence itself. In this talk I will discuss some fallacies in common assumptions made by AI researchers, which can lead to overconfident predictions about the field. I will also speculate on what is needed for the grand challenge of making AI systems more robust, general, and adaptable—in short, more intelligent.

Melanie Mitchell is the Davis Professor of Complexity at the Santa Fe Institute. Her current research focuses on conceptual abstraction, analogy-making, and visual recognition in artificial intelligence systems. Melanie is the author or editor of six books and numerous scholarly papers in the fields of artificial intelligence, cognitive science, and complex systems. Her book Complexity: A Guided Tour (Oxford University Press) won the 2010 Phi Beta Kappa Science Book Award and was named by Amazon.com as one of the ten best science books of 2009. Her latest book is Artificial Intelligence: A Guide for Thinking Humans (Farrar, Straus, and Giroux).

For further information e-mail

mfisher@wcupa.edu

Fall 2021

West Chester University
Fall 2021 Mathematics Colloquium

presents

Emilie Purvine

Pacific Northwest National Laboratory

Emilie Purvine F21 Colloquium Flyer Picture

“Hypergraphs and topology for data science”

Wednesday, November 17, 2021 from 3:15 to 4:25PM

Data scientists and applied mathematicians must grapple with complex data when analyzing complex systems. Analytical methods almost always represent phenomena at a much simpler level than the complex structure or dynamics inherent in systems, through either simpler measured or sampled data, or simpler models, or both. As just one example, collaboration data from publications databases are often modeled as graphs of authors, in which pairs of authors (vertices) are connected if they published a paper together, perhaps weighted by the number of such papers. This graph view is also commonly found when analyzing many other kinds of data including biological, cyber, and social. But to better represent inherent complexity, researchers are striving to adopt hypergraphs, representing connections not only as pairwise, but as multi-way or higher order. In bibliometrics, where papers have multiple authors, and authors write multiple papers, hypergraphs can natively capture the complex ways that groups of authors form into collaborations as sets of authors on papers, where traditional collaboration networks can only do so via complex coding schemes. Our recent work has focused on first developing and implementing methods that extend common graph methods to hypergraphs—e.g., distance, diameter, centrality—and then using such methods to study real data sets from biology to cyber security. Moreover, the complexity of hypergraphs imbues them with significant topological properties, and we have been active in developing a theory and interpretation of hypergraph homology, through abstract simplicial complexes and other topological representations. Additionally, graphs and hypergraphs both arise in data systems with more than two dimensions, for example adding keywords or institutions to papers and authors. These four dimensions—authors, papers, keywords, and institutions—now can form a combinatorial number of hypergraphs (e.g. authors vs. papers, papers vs. keywords, institutions vs. authors, etc.). But what mathematical structure can be formed when we consider all these dimensions simultaneously? Tensors may be one such structure, but even they may be too restrictive since tensors represent a multi-relation among all dimensions, and data may only be available on certain projections. In this talk I will provide an overview of our work on hypergraphs and topology for data science, including both theory and practice of the methods we have been developing, and provide some thoughts on going beyond hypergraphs.

Dr. Emilie Purvine is a Senior Data Scientist at Pacific Northwest National Laboratory. Although her academic background is in pure mathematics, with a BS from University of Wisconsin - Madison and a PhD from Rutgers University, her research since joining PNNL in 2011 has focused on applications of combinatorics and computational topology together with theoretical advances needed to support the applications. Over her time at PNNL Emilie has been both PI and technical staff on a number of projects in applications ranging from computational chemistry and biology to cyber security and power grid modeling. She has authored over 40 technical publications and is currently an associate editor for the Notices of the American Mathematical Society. Emilie also coordinates PNNL’s Postgraduate Organization which plans career development seminars, an annual research symposium, and promotes networking and mentorship for PNNL’s post bachelors, post masters, and post doctorate research associates.

For further information e-mail

mfisher@wcupa.edu

 

Wolfram Technology Seminars

Wolfram Technology Seminar Fall 2021

Mathematica and Wolfram|Alpha in Education and Research 

THURSDAY, NOVEMBER 11
3:15pm–4:30pm (includes Q&A)
Room UNA 155, 25 University Avenue

Register at: wolfr.am/WestChester

To find out more, please contact Andy Dorsett at

andy_dorsett@wolfram.com

or 1-217-372-3860.

West Chester University
Fall 2021 Mathematics Colloquium

presents

Nora Youngs

Colby College

Nora Youngs Colloquium Talk F21 Image

“Neural codes and stimulus space structure”

Wednesday, October 6, 2021 from 3:15 to 4:25PM
BRN 010

A major problem in neuroscience is to understand how the brain uses neural activity to form representations of the external world. Combinatorial information in the firing patterns of neurons often reflects important features of the stimuli which generated them. How can we efficiently extract such information?  This talk will introduce some of the algebraic methods currently in use for encoding and extracting combinatorial structure from neural codes, and also discuss how this structure can be used to infer features of the underlying stimulus space.

Nora Youngs is the Clare Boothe Luce Assistant Professor of Mathematics at Colby College in Waterville, ME. She earned her B.A. in mathematics from Smith College, and her Ph.D. in mathematics from the University of Nebraska - Lincoln. She has also been a postdoctoral teaching and research fellow at Harvey Mudd College. Her research area is mathematical neuroscience, and in particular, using techniques from algebra, graph theory, geometry and topology to understand neural data.

For further information e-mail

mfisher@wcupa.edu

 

 

West Chester University
Fall 2021 Mathematics Colloquium

presents

Sabetta Matsumoto

Georgia Institute of Technology

Matsumoto F21 Colloquium Flyer Image

“Twisted topological tangles or: the knot theory of knitting”

Friday, September 24, 2021 from 3:15 to 4:25PM
AND 211

Imagine a 1D curve, then use it to fill a 2D manifold that covers an arbitrary 3D object – this computationally intensive materials challenge has been realized in the ancient technology known as knitting. This process for making functional materials 2D materials from 1D portable cloth dates back to prehistory, with the oldest known examples dating from the 11th century CE. Knitted textiles are ubiquitous as they are easy and cheap to create, lightweight, portable, flexible and stretchy. As with many functional materials, the key to knitting’s extraordinary properties lies in its microstructure.

At the 1D level, knits are composed of an interlocking series of slip knots. At the most basic level there is only one manipulation that creates a knitted stitch – pulling a loop of yarn through another loop. However, there exist hundreds of books with thousands of patterns of stitches with seemingly unbounded complexity.

The topology of knitted stitches has a profound impact on the geometry and elasticity of the resulting fabric. This puts a new spin on additive manufacturing – not only can stitch pattern control the local and global geometry of a textile, but the creation process encodes mechanical properties within the material itself. Unlike standard additive manufacturing techniques, the innate properties of the yarn and the stitch microstructure has a direct effect on the global geometric and mechanical outcome of knitted fabrics.

Sabetta Matsumoto is an assistant professor in the School of Physics at Georgia Institute of Technology. Her physics research centers around the relationship between geometry and material properties in soft systems, including liquid crystals, 3D printing and textiles. Her lab studies knitted textiles from the point of view of knot theory and as an additive manufacturing technique. She is also interested in using sewing, 3D printing and virtual reality in mathematical art and education.

For further information e-mail

mfisher@wcupa.edu

 

Spring 2021

West Chester University
Spring 2021 Mathematics Colloquium

presents

Svenja Huntemann

Concordia University of Edmonton

Huntsmann Colloquium, Spring 2021, Image

“Enumeration of Game Positions”

Wednesday, April 28, 2021 from 4:00 to 4:50PM

Placement games are 2-player games in which pieces are placed on a board without moving or removing them later. Many of these games naturally break into smaller components as the game progresses, called a disjunctive sum. A common technique to determine the winner includes studying the components separately. This allows us to consider the smaller parts of the game but requires us to consider non-alternating play sequences in addition to strictly alternating.

The polynomial profile of a game enumerates the number of positions with a fixed number of pieces from each player. We can use the polynomial profile to determine both the number of options under strictly alternating play and when considering all lines of play, and thus the ratio between these two. Determining the polynomial profile relates to several enumeration problems in graph theory as well. I will discuss some known results on enumerating game positions for a variety of placement games, as well as ongoing work. Some of this work is joint with Neil McKay.

Svenja Huntemann is an Assistant Professor at Concordia University of Edmonton in Canada. She earned her PhD (2018) from Dalhousie University and has held an NSERC postdoctoral fellowship at Carleton University. Her research focuses on combinatorial (pure strategy) games and their connections to various other areas in mathematics, such as commutative algebra, design theory, and graph theory.

For further information e-mail

mfisher@wcupa.edu

 

West Chester University
Spring 2021 Mathematics Colloquium

presents

Katie Steckles

Manchester, England

image for Steckles Spring 2021 Colloquium Talk

“Math's Greatest Unsolved Puzzles”

Wednesday, April 7, 2021 from 12:00 to 12:50PM

While mathematicians are undoubtedly brilliant, and their work is used in all kinds of amazing scientific and technological discoveries, there are still questions they can't answer. Every mathematical question is a puzzle to be solved, and while there'll be plenty of puzzles for you to chew on, we'll also discuss some of the questions that still leave mathematicians stumped - from simple-sounding number and shape problems to some truly mind-bending fundamental questions.

Katie Steckles is a mathematician based in Manchester, England, who gives talks and workshops and writes about mathematics. She finished her PhD in 2011, and since then has talked about math in schools, at science festivals, on BBC radio and TV, at music festivals, as part of theater shows and on the internet.

For further information e-mail

mfisher@wcupa.edu

West Chester University
Spring 2021 Mathematics Colloquium

presents

Emille Davie Lawrence

University of San Francisco

Image for Lawrence Colloquium, Spring 2021

“Spatial Graph Theory: A Primer”

Wednesday, March 24, 2021 from 4:00 to 4:50PM

Spatial graph theory started in the 1980's as a way to answer certain questions about chemical molecules. However, topologists have since taken the field in new directions. In this talk we will have an introduction to spatial graph theory. In particular, we will talk about what they are, some of the properties of spatial graphs that researchers have studied over the years, and even how we can associate a group of symmetries to a particular embedding.

Emille Davie Lawrence is a Term Associate Professor and Chair of Mathematics and Statistics at the University of San Francisco. She earned her B.S. in mathematics from Spelman College and her Ph.D. in mathematics from the University of Georgia. She has also been a postdoctoral fellow at the University of California, Santa Barbara and an Assistant Professor at California State Polytechnic University, Pomona.  Her research focuses on topological properties of spatial graphs, and she is involved in several national programs aimed at broadening participation in the mathematical sciences. Emille enjoys speaking about mathematics to people of all ages and believes strongly that mathematics should be accessible to everyone. Her non-professional life is filled with music and other performing arts, and spending meaningful time with her husband and two children.

For further information e-mail

mfisher@wcupa.edu





West Chester University

Spring 2021 Mathematics Colloquium

presents

Yossi Elran

Weizmann Institute of Science

picture for Elron Spring 21 Colloquium Talk

“Flexagons Galore!”

 Wednesday, March 10, 2021 from 12:00 to 12:50PM

Flexagons are twisted strips of folded paper, which reveal their properties when “flexed”.  There are so many things you can do with flexagons.  You can create them, flex them and study them from a topological point of view.  Flexagon theory is still very much in its infancy, so there is so much still to do.  In this talk we will take a look at a gallery of flexagons, show you how to fold some of them, learn how to define them, see the connection between flexagons and Mobius strips, explore flexagon diagrams, meet Ann Schwartz’s mind boggling straight-strip flexagons, discuss Scott Sherman’s flexagonator and even learn about my newly found art of destroying flexagons.

Yossi Elran heads the Innovation Center for Science Education at the Davidson Institute, the educational arm of the Weizmann Institute of Science in Israel. He initiated and led many of the Institute’s recreational math activities including math circles, math festivals and workshops, the K-12 Math-by-Mail program, and Future Learn online courses. He holds a Ph.D. and has done post-doctoral research in theoretical quantum chemistry and has written many papers on quantum mechanics, technology in education and recreational math. He is the author of “Lewis Carroll’s Cats and Rats and Other Puzzles with Interesting Tails”, to be released in August 2021, and co-author of the Paper Puzzle Book.

For further information e-mail

mfisher@wcupa.edu

 

West Chester University
Spring 2021 Mathematics Colloquium

presents

Jim Coykendall
Clemson University

Cartoon from Coykendall Spring 2021 Colloquium Flyer

“Factorization: Uniqueness and Near Uniqueness”

Wednesday, February 24, 2021 from 4:00 to 4:50PM

Since the 1990s there has been a large industry of research in commutative algebra focused on factorization in integral domains (and sometimes non-domains as well).  A central concept in commutative algebra is the one of “unique factorization,” and we recall that a unique factorization domain (UFD), R, is an integral domain where one has the fundamental theorem of arithmetic; that is, every nonzero, nonunit of R can be factored (uniquely) into prime elements.  Much of the focus of factorization theory involves investigation into generalizations of the UFD property in natural ways and studying their properties (for instance are these “factorization properties” preserved in polynomial extensions, power series extensions, integral closures, etc.?).

The aim of this talk will be to acquaint the audience with some of the broad stroke ideas in factorization and then specialize to a couple of types of domains that are, in one sense of the word, the “next best thing” to being a UFD.  For these “near UFDs” interesting examples will be produced and some recent results will be disclosed.

Jim Coykendall got his PhD in 1995 from Cornell University (in algebraic number theory). After a one-year stint as the C. C. Hsiung Visiting Professor at Lehigh University, he moved to North Dakota State University from 1996-2013.  During his time at NDSU, Jim received the College of Science and Mathematics research award (2005) and a number of teaching awards, including the College of Science and Mathematics teaching award (2000) and the university-wide Odney Teaching Award (2003) as well as being named the Carnegie US Professor of the Year from North Dakota (2005).  In 2013, Jim moved to Clemson University after an external chair search, but is now enjoying doing what he loves best again.  Jim’s research is in algebraic number theory and (mostly) commutative algebra; he has authored about 50 papers, edited a Springer research volume, is the founding and current managing editor of the Journal of Commutative Algebra, and has graduated 12 PhD students (and currently has about 6).

For further information e-mail

mfisher@wcupa.edu

.

West Chester University
Spring 2021 Mathematics Colloquium

presents

Craig Tennenhouse
University of New England

Image for Tennenouse Spring 2021 Colloquium Flyer

“Using Genetic Programming to inform conjectures in Combinatorial Game Theory”

Wednesday, February 10, 2021 from 3:00 to 3:50PM

 

Artificial intelligence has been used to strategize the playing of combinatorial games for some time, but there has been little work toward using similar methods to determine game values.  We introduce the topic of Genetic Programming to fit data points and investigate its efficacy in determining formulas for Grundy values of two new impartial combinatorial games.

 

Craig Tennenhouse grew up in Maryland and Indiana, and went to high school at the (excellent) Indiana Academy for Science, Mathematics, and Humanities.  He earned his AB with Honors in Mathematics from the University of Chicago, studying his entire third year at the University of Edinburgh.  He received his MA in Mathematics from the University of Colorado, in Boulder, CO.  He then took some time off from school, started a family, and taught in North Dakota and California.  Craig received his Ph.D. in Applied Mathematics from the University of Colorado Denver under the direction of Mike Jacobson.  He has been in Maine since 2010, where he is an Associate Professor in the Dept. of Mathematical Sciences at the University of New England.  Craig teaches classes in and out of the major and minor in Applied Mathematics, engages in research, and works at all levels of college and university service.  He like to climb rocks, hike, and cook.  He will gladly talk too long about any of these things.

For further information e-mail

mfisher@wcupa.edu

 

West Chester University
Spring 2021 Mathematics Colloquium

presents

Miranda Teboh-Ewungkem

Lehigh University

Teboh-Ewungkem Spring 2021 Colloquium flyer picture

 “Mathematics Plays an Important Role in Understanding Complex Diseases: The Case of Malaria and the Potential Use of Transmission Blocking Vaccines in Fighting It”

Wednesday, January 27, 2021 from 3:00 to 3:50PM

Malaria is a complex disease involving three interacting populations: The Plasmodium parasites, the agents that cause the disease; the female Anopheles mosquitoes, the agents responsible for spreading the parasite and hence malaria from human to human; and the humans, trying to stay healthy!!!! Part of the parasite’s life cycle, the asexual part, is spent in humans while the sexual part is spent in mosquitoes. Successful transmission of the parasite to humans requires that a susceptible female mosquito feed on two distinct humans - one infected with the parasite and the other susceptible, at two distinct sequential time points. In addition, the parasite must be in its transmissible form in the mosquito at the latter feeding. The bottlenecks involved in the process illuminates how the parasite, driven by the need to survive, has captured the evolutionary and reproductive needs of the mosquito to ensure the parasite’s survivability. Mathematics has a place to capture this transmission cycle dynamics in ways and quantitatively where it might be challenging biologically. In this talk, I will present the first ever mathematical model of the within-mosquito life-cycle component of P. falciparum parasites which accounts for the developmental stage transformations of the parasites from ingested gametocytes (forms of the parasite transmitted from humans to mosquitoes) to the formation of sporozoites, parasite forms transmitted from mosquitoes to humans. The model will consider the action and effect of blood resident human-antibodies ingested by mosquitoes during a blood meal, in inhibiting gamete fertilization.  Model analysis and simulations will be used to explore the question of whether it is possible to control and limit the development of oocysts, precursors of the sporozoites, and hence sporozoite development within a mosquito by boosting the efficiency of antibodies that can be ingested during a blood meal, as a pathway to the development of transmission-blocking vaccines.

Dr. Teboh-Ewungkem is originally from Cameroon.  She earned her BS & MS in Mathematics and her MS in Statistics from the University of Buea (Cameroon).  She earned her PhD in Mathematics from Lehigh University.  Dr. Teboh-Ewungkem taught at Lafayette College for 10 years before joining the Lehigh University Mathematics Department as a Professor of Practice in 2015.  She is the author of over 35 published research manuscripts involving Dynamical Systems, Mathematical Modeling, Biology, and PDEs.  Additionally, she has co-edited two books, including a recent work published by Springer entitled “Infectious Diseases and Our Planet” that looks at the mathematics of infectious diseases and how they relate to our planet.  She has received several NSF grants to support her research.  Currently, she is the vice chair of the Mathematical Epidemiology subgroup of the Society for Mathematical Biology.  Last, but not least, she is the proud mother of two handsome young men.

For further information e-mail

mfisher@wcupa.edu

 

Fall 2020

West Chester University
Fall 2020 Mathematics Colloquium

presents

Sebastian Cioaba
University of Delaware

 Image for Cioba Fall colloquium talk

“A Brief Tour of Spectral Graph Theory”

Wednesday, December 2, 2020 from 4:00 to 4:50PM

Spectral graph is the study of eigenvalues of graphs and their connections to the combinatorial properties of the graphs. In this talk, I will present some of my favorite results in spectral graphs involving graph decomposition and addressing, strongly regular graphs, expanders and spectral characterization of graphs. The talk should be accessible to a broad audience and I will present several open problems.

Sebastian Cioaba is a Professor in the Department of Mathematical Sciences at University of Delaware. His main research interests are spectral graph theory, algebraic combinatorics and their connections and applications to other areas of mathematics and science. After undergraduate studies in mathematics and computer science at University of Bucharest, Romania, he obtained his Ph.D. in mathematics at Queen’s University at Kingston, Canada. Following postdocs at UC San Diego and University of Toronto, Sebastian started his position at University of Delaware in 2009. He is on the editorial board of Linear Algebra and its Applications, Linear and Multilinear Algebra and Electronic Journal of Linear Algebra and is editor for featured articles for IMAGE, the newsletter of the International Linear Algebra Society. Sebastian has organized several conferences in algebraic combinatorics and spectral graph theory and has supervised 5 Ph.D. students, 1 M.Sc. student, 2 senior theses and over 20 summer undergraduate research students. He has published over 50 papers, 1 book and his research has been supported by NSF,                       NSA, NSERC, Simons Foundation, IDex Bordeaux and Japan Society for Promotion of Science.

 

For further information e-mail mfisher@wcupa.edu

West Chester University
Fall 2020 Mathematics Colloquium

presents

NEIL MCKAY
University of New Brunswick - Saint John

 McKay Fall 2020 Colloquium Image

“Surreal Numbers: Appreciate numbers by considering not only the real numbers, but infinitesimals and infinity plus one too!”

Wednesday, November 18, 2020 from 4:00 to 4:50PM

This talk is intended for humans that either know what a number system is, or do not. That is, no particular background is assumed. We present work largely due to Conway following the presentation in The Book of Numbers (Conway and Guy, 1996). The surreal numbers arise naturally in the context of games; this is in contrast with the usual impetus for a number system, which is solving equations. The surreal numbers unite ordinal infinities and the real numbers. Seeing the real numbers in a larger context can also help to answer the question of whether 0.999999 = 1.

Neil McKay (he/him) avoids COVID-19 and teaches mathematics in Saint John (New Brunswick, Canada) near where the Wolastoq river flows in and out of the Bay of Fundy.

For further information e-mail

mfisher@wcupa.edu

 

West Chester University
Fall 2020 Mathematics Colloquium

presents

Daniel Litt

University of Georgia

 picture for Litt Fall 2020 colloquium

“Arithmetic Topology and the Fundamental Group” 

The set of solutions to a system of polynomial equations—an algebraic variety—has incarnations in topology, complex geometry, and arithmetic. In this talk, I'll discuss arithmetic aspects of the fundamental group of an algebraic variety, and how it allows us to translate problems in geometry to problems in arithmetic, and vice versa. Going from arithmetic to geometry, I'll explain how number-theoretic methods can be used to obtain information about the geometry of complex algebraic varieties. And in the other direction, I'll discuss a conjectural relationship between the fundamental group and questions about rational solutions to polynomial equations—Grothendieck's section conjecture—and how methods from low-dimensional topology can be used to construct non-trivial obstructions to the existence of rational solutions, and curves satisfying the section conjecture.

Daniel Litt is an assistant professor at the University of Georgia.  He received his PhD in 2015 from Stanford University.  His research focuses on the interplay between number theory and geometry, and in particular on the arithmetic of fundamental groups of algebraic varieties.

For further information e-mail

mfisher@wcupa.edu

 

 

West Chester University
Fall 2020 Mathematics Colloquium

presents

MELISSA HUGGAN
Ryerson University

Line of Dots (decerotaive)

“Conjoined Games: GO-CUT and SNO-GO”

Wednesday, October 28, 2020 from 4:00 to 4:50PM

In combinatorial game theory, there are many ways to combine games. Let F and H be two impartial rulesets. In this talk, we introduce the conjoined ruleset in which the game is played under the F ruleset and then, when play is no longer possible, to continue under the H ruleset. The games of go-cut and sno-go on a path are considered. We give nim-values for positions at the start of Phase 2 for go-cut and for sno-go we determine the winner. First-Past-The-Post is the primary election method used in the United States, though many others exist.  Given the recent push for Ranked-Choice Voting, this talk covers a variety of different methods, including IRV, Approval Voting, Range Voting, Bucklin Voting, Borda Count, STAR, and Condorcet methods.  In addition, we will discuss properties of different systems and some of the unexpected election outcomes that can occur.

Line of Dots (decerotaive)

Melissa Huggan is an NSERC Postdoctoral Fellow at Ryerson University in Toronto, Ontario, Canada.

For further information e-mail mfisher@wcupa.edu

 

 

West Chester University
Fall 2020 Mathematics Colloquium

presents

Kyle Burke
Plymouth State University

Image for Burke Fall 2020 Colloquium

“Alternative Voting Methods: Escaping First-Past-The-Post”

Wednesday, October 7, 2020 from 4:00 to 4:50PM

https://wcupa.zoom.us/meeting/register/tJAlcuuhpz8qH9bOQ1zVWznWyQ3nY2PEqVQP

First-Past-The-Post is the primary election method used in the United States, though many others exist.  Given the recent push for Ranked-Choice Voting, this talk covers a variety of different methods, including IRV, Approval Voting, Range Voting, Bucklin Voting, Borda Count, STAR, and Condorcet methods.  In addition, we will discuss properties of different systems and some of the unexpected election outcomes that can occur.

Kyle teaches computer science and technology at Plymouth State University in New Hampshire.  He mostly spends his research time working on projects in Combinatorial Games and Computational Complexity.  He enjoys integrating abstract games into his courses whenever he can.

For further information e-mail mfisher@wcupa.edu

 

West Chester University
Fall 2020 Mathematics Colloquium

presents

Annie Raymond
University of Massachusetts, Amherst

Image from Raymond Fall 2020 talk flyer

“Simple Graph Density Inequalities with no Sum of Squares Proofs”

Wednesday, September 16, 2020 from 4:00 to 4:50PM

What is the maximum number of edges in a graph on n vertices without triangles?  Mantel's answer in 1907 that at most half of the edges can be present started a new field: extremal combinatorics.  Establishing inequalities among graph densities is a central pursuit in extremal graph theory.  One way to certify the nonnegativity of a graph density expression is to write it as a sum of squares or as a rational sum of squares.  In this talk, we will explore how one does so and we will then identify simple conditions under which a graph density expression cannot be a sum of squares or a rational sum of squares.  These results extend to the powerful frameworks of flag algebras by Razborov and graph algebras by Lovász and Szegedy.  This is joint work with Greg Blekherman, Mohit Singh, and Rekha Thomas.

Annie Raymond is an assistant professor at the University of Massachusetts in Amherst. Originally from Montreal, she studied math and music at MIT as an undergrad before pursuing a Ph.D. in mathematics at the Technische Universitaet in Berlin and a postdoc at the University of Washington.  At any given moment, you will most likely find her thinking about extremal graph theory and sums of squares or reflecting on education in prisons and on how to increase diversity in STEM.

For further information e-mail

mfisher@wcupa.edu

Spring 2020

West Chester University
Spring 2020 Mathematics Colloquium

presents

Daniel Litt

University of Georgia

Image from Litt Spring 2020 colloquium talk flyer

“The Arithmetic of Differential Equations”

 Wednesday, April 8, 2020 from 3:20 to 4:10PM
UNA 155

In the late 1960s, Grothendieck and Katz conjectured that (by a certain explicit recipe) one can understand the structure of an algebraic differential equation by reducing it mod various primes.  I'll explain this (still very open) conjecture, and what we know about it.  Time permitting, I'll discuss joint work with Brian Lawrence which gives a reformulation of Grothendieck and Katz's conjecture in terms of the geometry of surfaces.

Daniel Litt is an assistant professor at the University of Georgia.  He received his PhD in 2015 from Stanford University.  His research focuses on the interplay between number theory and geometry, and in particular on the arithmetic of fundamental groups of algebraic varieties.

For further information e-mail

mfisher@wcupa.edu

 

West Chester University
Spring 2020 Mathematics Colloquium

presents

Annie Raymond

University of Massachusetts, Amherst

 Image from Raymond Apring 2020 talk flyer

 “Simple Graph Density Inequalities with no Sum of Squares Proofs”

 Wednesday, March 18, 2020 from 3:20 to 4:10PM
UNA 155

What is the maximum number of edges in a graph on n vertices without triangles?  Mantel's answer in 1907 that at most half of the edges can be present started a new field: extremal combinatorics.  Establishing inequalities among graph densities is a central pursuit in extremal graph theory.  One way to certify the nonnegativity of a graph density expression is to write it as a sum of squares or as a rational sum of squares.  In this talk, we will explore how one does so and we will then identify simple conditions under which a graph density expression cannot be a sum of squares or a rational sum of squares.  These results extend to the powerful frameworks of flag algebras by Razborov and graph algebras by Lovász and Szegedy.  This is joint work with Greg Blekherman, Mohit Singh, and Rekha Thomas.

Annie Raymond is an assistant professor at the University of Massachusetts in Amherst. Originally from Montreal, she studied math and music at MIT as an undergrad before pursuing a Ph.D. in mathematics at the Technische Universitaet in Berlin and a postdoc at the University of Washington.  At any given moment, you will most likely find her thinking about extremal graph theory and sums of squares or reflecting on education in prisons and on how to increase diversity in STEM.

For further information e-mail

mfisher@wcupa.edu

West Chester University
Spring 2020 Mathematics Colloquium

presents

SAMUEL CORSON
University of Basque Country UPV/EHU, Leioa, Spain

Corson talk image Spring 2020

“A Strange Almost Free Group”

Thursday, Feb. 27, 2020 from 3:20 to 4:15 PM
UNA 119

Almost free groups (groups whose subgroups of smaller cardinality are free) have been a subject of study over the last 60 years. Some such groups can be made to satisfy further conditions which are satisfied by free groups, while still failing to be free. Principles of combinatorial set theory generally play a role in such constructions. I’ll give a review of almost free groups, including history and some examples, and present a recent result.

Samuel Corson is originally from New Jersey and holds a postdoctoral potion at University of Basque Country UPV/EHU. He previously held a postdoc position at ICMAT in Madrid and received his PhD from Vanderbilt University under the supervision of Mark Sapir.  This will be his first visit to West Chester. Sam has authored many papers related to interactions between topology and group theory.

For further information e-mail

jbrazas@wcupa.edu

West Chester University
Spring 2020 Mathematics Colloquium

presents

Stephen Lawrence

The Vanguard Group

 Image from Stephen Lawrence talk announcement

 

“The Role of Data Science in Investment Management: How Machine Learning, NLP and Knowledge Graphs are Changing the Way We Invest”

 Wednesday, February 12, 2020 from 3:20 to 4:10PM
UNA 155

Stephen Lawrence is the Head of Investment Management Fintech Data Science at The Vanguard Group. He oversees the integration of new structured and unstructured data sources into the investment process, leveraging a blend of NLP and predictive analytics. Prior to joining Vanguard, Dr. Lawrence was Head of Quantextual Research at State Street Bank where he led a machine learning product team. Prior to that he led FX and Macro flow research for State Street Global Markets. Stephen holds a B.A. in Mathematics from the University of Cambridge and a Ph.D. in Finance from Boston College. He is also a TED speaker with a 2015 talk titled “The future of reading: it’s fast”.

For further information e-mail

mfisher@wcupa.edu

Fall 2019

West Chester University
Fall 2019 Mathematics Colloquium

presents

 

Andrew Owens
Widener University

 Picture from Andrew Owens Fall 2019 Colloquium

“Edge Colorings Forbidding Rainbow Cycles” 

Tuesday, December 3, 2019 from 3:20 to 4:10PM UNA 158

It is well known that the greatest number of colors appearing in a rainbow-cycle-forbidding edge coloring of a connected graph on n vertices is n − 1.  Such an edge coloring is known as a JL-coloring.  In previous work it has been shown that for graphs in certain classes, these colorings are all obtainable in a certain way that permits classification: for instance, it is known that the essentially different colorings of Kn with n > 1 are in one-to-one correspondence with isomorphism classes of full binary trees with n leaves.  We have defined a Standard Construction for JL-colorings (which we derived from the previous results) and we have shown that any JL-coloring of a connected graph is produced by this Standard Construction.  Furthermore, every JL-coloring has a monochromatic edge cut.  We also state some results on the sharpness of this result: specifically, what can we say about the number of colors used in an edge coloring that forbids rainbow cycles and monochromatic cuts.

 

One important question in edge coloring is the study of proper edge colorings; that is, an edge coloring is proper if no two incident edges have the same color.  We will also discuss edge colorings which are proper and are rainbow-cycle-forbidding.  In most cases, the number of colors used is relaxed in order for this to be achievable.  We will see some results obtained on this question so far and take a look at what else needs to be done.

 

Andrew completed his undergraduate degree in pure mathematics at the University of Texas in Austin in 2008.  After spending a few years teaching high school and middle school in Texas he moved to Alabama to do a Ph.D. in mathematics at Auburn University.  While at Auburn his research interest in combinatorics, with a focus in graph theory, was developed.  He has participated in research workshops, including the MASAMU workshop in southern Africa, which have led to some fantastic collaborations.  He finished his Ph.D. in August 2019 and is now a Visiting Professor of Teaching at Widener University.

For further information e-mail

mfisher@wcupa.edu

.

West Chester University
Fall 2019 Mathematics Colloquium
presents

 

Viorel Nitica

Taxicab numbers immage

"Ramanujan Hardy numbers"

Thursday, November 21, 2019 from 3:20 to 4:10 PM UNA 158


We will present four new sequences of numbers, recently introduced by the speaker on the Online Encyclopedia of Integer Sequences We will show many examples of such numbers, some relationships among themselves and some relationships with more well known classes of numbers such as palindromes The talk will mention many open Problems some of them suitable for undergraduates or graduates students looking for a good research problem.

COMPUTATIONAL SCIENCE & APPLIED MATHEMATICS SEMINAR

SPEAKER: Professor Cliff Johnston
Department of Mathematics, WCUPA
CJohnston@wcupa.edu

Viscosity solutions image
Wednesday, November 20, 2019, Time: 3:15-4:15pm, Room: UNA 155


Title: Introduction to Viscosity Solutions


Abstract: We begin by looking at an example that motivates the need for a weak solution to a degenerate, non-linear first-order differential equation. We then define viscosity solutions for degenerate elliptic partial differential equations. After looking at a few more examples, we will pay particular attention to Hamilton-Jacobi-Bellman (HJB) equations and show (formally) that the value function of the associated control problem is a viscosity solution of the HJB equation. We conclude with a discussion of several important general results about viscosity solutions including existence, uniqueness, and regularity.

 

West Chester University
Fall 2019 Mathematics Colloquium


presents


MELISSA HUGGAN
Ryerson University
picture from MELISSA HUGGAN's Fall 2019 talk flyer
“Cops and Robbers: An Introduction”


Tuesday, October 29, 2019 from 3:15 to 4:05PM UNA 158


How many cops does it take to catch a robber? Cops and Robbers is a pursuit-evasion game played on graphs. Player 1 controls a set of k cops, while Player 2 controls a robber. Player 1 chooses k (or fewer) vertices of a graph for the cops to occupy, then Player 2 chooses a different vertex for the robber to occupy. Players then alternate turns moving along edges of the graph. The goal of the cop player is to capture the robber by occupying the same vertex. The goal of the robber is to avoid capture indefinitely.

This talk will give an introduction to the game of Cops and Robbers by presenting a variety of key results and proof techniques within this area of research. We will conclude with current research directions and open problems.


Melissa Huggan is an NSERC Postdoctoral Fellow at Ryerson University in Toronto, Ontario, Canada.


For further information e-mail

mfisher@wcupa.edu

.

 

West Chester University
Fall 2019 Mathematics Colloquium

presents


COLIN ADAMS

Williams College
 Colin Adams Colloquium, boat picture

“Blown Away: What Knot to Do When Sailing”

Monday, September 23, 2019 from 3:15 to 4:05PM UNA 155

Being a tale of adventure on the high seas involving great risk to the tale teller, and how an understanding of the mathematical theory of knots saved his bacon. No nautical or mathematical background assumed.

Colin Adams is the Thomas T. Read Professor of Mathematics at Williams College. He is particularly interested in the mathematical theory of knots, their applications and their connections with hyperbolic geometry. He is the author of nine books, including "The Knot Book", "How to Ace Calculus: The Streetwise Guide", "How to Ace the Rest of Calculus: the Streetwise Guide”, "Why Knot?", “Calculus", with Jon Rogawski and "Introduction to Topology”: Pure and Applied.” He is a recipient of the National Distinguished Teaching Award from the Mathematical Association of America(MAA), an MAA Polya Lecturer, a Sigma Xi Distinguished Lecturer, a recipient of the Robert Foster Cherry Teaching Award and a fellow of the American Mathematical Society. He is also the humor columnist for the Mathematical Intelligencer.

For further information e-mail

mfisher@wcupa.edu

.

Spring 2019

West Chester University
Spring 2019 Statistics Colloquium


presents

A Course in Modern Applied Bayesian Statistics
John Peterson

April 22 at 3:15 PM in UNA 155

Bayesian Statistics image

As the 21st century progresses, events are coming together which increase the importance of Bayesian statistical methods in everyday applications.  One sequence of events is the acceleration of new scientific and manufacturing technologies which require more sophisticated statistical modeling as well as generate more complex data structures.  The flexibility of Bayesian inference allows it to be more adaptable to such technological changes.

Another, change occurring is the increased amount of historical data available through modern database environments.  This provides for more information to build informative priors for Bayesian inference, thereby increasing the power and efficiency of statistical inference.

 A third situation arising in the 21st century, is science’s disappointment with p-values as a tool for decision making.  Here again, Bayesian inference can provide more adaptable and easier to interpret quantitative tools for inference and decision making.

As such, anyone seeking a long-term career in employing statistical methods needs to know how to apply Bayesian statistical methods to solve real world problems.  This talk provides an overview of why it is useful to employ Bayesian methods, and it provides an example of how Bayesian statistics can be used to solve a complex and important problem.  The talk will also touch upon what fundamental skills are needed to be a productive applied Bayesian statistician.

 

John received his B.S. degree from the Stony Brook University with a double major in Applied Mathematics and Computer Science.  He received his Ph.D. in Statistics from the Pennsylvania State University.  John is a Fellow of the American Statistical Association, an Associate Editor of the Journal of Quality Technology, and a co-founding member of the Industrial Statistics Section of the International Society for Bayesian Analysis.  John is currently a Senior Director in the Statistical Sciences Department at GlaxoSmithKline Pharmaceuticals.  Recently, John was a co-author an applied Bayesian paper that won the “Best Paper Award” from the Nonclinical Statistics Working Group of the Biopharmaceutical Section of ASA.

For further information e-mail

rrieger@wcupa.edu

.

West Chester University
Spring 2019 Mathematics Colloquium

presents
NEIL SLOANE
Department of Mathematics, Rutgers University, and The OEIS Foundation

Sloane Seminar Spring 2019

“The On-Line Encyclopedia of Integer Sequences: New Unsolved Problems”

Wednesday, April 3, 2019 from 5:00 to 6:00PM
AND 211

The OEIS contains 320,000 sequences and has been cited by 7000 articles. But every few days a new sequence is submitted which makes one want to drop everything to try to solve it. Here is a collection of recent and not-so- recent examples, mostly still unsolved, arising from unusual recurrences, word problems, number theory, geometry, and graph theory.

Dr. Sloane was born in Wales and brought up in Australia. He studied at Cornell University under Nick DeClaris, Frank Rosenblatt, Frederick Jelinek and Wolfgang Heinrich Johannes Fuchs, receiving his Ph.D. in 1967. Sloane joined AT&T Bell Labs in 1968 and retired from AT&T Labs in 2012. He became an AT&T Fellow in 1998. He is also a Fellow of the Learned Society of Wales, an IEEE Fellow, a Fellow of the American Mathematical Society, and a member of the National Academy of Engineering.

He is a winner of a Lester R. Ford Award in 1978 and the Chauvenet Prize in 1979. In 2005 Sloane received the IEEE Richard W. Hamming Medal. In 2008 he received the Mathematical Association of America David P. Robbins award, and in 2013 the George Pólya Award.

Besides mathematics, he loves rock climbing and has authored two rock-climbing guides to New Jersey.

For further information e-mail

mfisher@wcupa.edu

.

 

 

West Chester University
Spring 2019 Mathematics Colloquium

presents

ZVEZDELINA STANKOVA

University of California, Berkeley

Stankova Spring 2019 Colloquium

“Inversion in the Plane”

Wednesday, March 27, 2019 from 5:00 to 6:00PM
AND 211

Everyone knows the Pythagorean Theorem, and some may even know that, roughly, it has as many proofs as there are math fans around the world. Yet, do you know what the most proof-abundant geometry theorem might be that is situated on the circle? And what might be its most profound yet super-clever proof that reduces it to a statement a 3rd grader would have no trouble accepting? In this talk, we will delve into the method of Inversion in the Plane, which will not only solve this particular problem, but will open up opportunities for attacking a whole array of geometry problems that would otherwise be close to impossible to solve. Inversion in the Plane was one of the very first topics I learned while training on the Bulgarian team for the International Math Olympiads, and even to this day, it is still one of my favorite math topics that has taught me to never assume any boundaries on human imagination. Standard geometry background, no Calculus, and a certain amount of daring will be needed to engage in the talk.

Professor Zvezdelina Stankova (Zvezda) was drawn into the world of mathematics when, as a 5th grader, she joined the math circle at her school in Bulgaria and won, three months later, the Regional Math Olympiad. She represented her home country at two International Mathematical Olympiads (IMOs), earning silver medals. As a freshwoman at Sofia University, Zvezda won a competition to study in the U.S. and completed her undergraduate degree at Bryn Mawr College in 1993. She did her first math research in enumerative combinatorics at two summer programs in Duluth, Minnesota. The resulting papers contributed to her Alice T. Schafer Prize for Excellence in Mathematics by an Undergraduate Woman, awarded by the Association for Women in Mathematics. In 1997, Zvezda received a Ph.D. from Harvard University, with a thesis on moduli spaces of curves, in the field of algebraic geometry. She also earned a high school teaching certificate in the state of Massachusetts and later in California.

As a postdoctoral fellow at the Mathematical Sciences Research Institute (MSRI) and UC Berkeley in 1997-1999, Zvezda co-founded the Bay Area Mathematical Olympiad and created the Berkeley Math Circle (BMC). She trained the USA national team for the IMOs for six years, including the memorable year 2001 when three of the six team members were BMCers, and USA tied with Russia for a second overall place in the world. She worked at Mills College 1999-2016, and she joined the faculty at UC Berkeley in the summer of 2016.

Zvezda’s inspiring style and passion to teach were recognized by the Mathematical Association of America (MAA): in 2004 she received the first Henry L. Alder Award for Distinguished Teaching by a Beginning College or University Mathematics Faculty Member. In 2011 MAA honored her with the highest math teaching award in the U.S., the Deborah and Franklin Tepper Haimo Award for Distinguished College or University Teachers who are widely recognized as extraordinarily successful and whose teaching effectiveness has shown to have influence beyond their own institutions. Zvezda was featured in the Salutes Program of the ABC 7 News in spring 2011. In 2012, she was listed in Princeton’s Review “300 Best Professors.” In fall 2015 she introduced a new middle school math program at Tehiyah Day School in El Cerrito, CA, and in fall 2016 she founded “Math Taught the Right Way” program for middle and high school students at UC Berkeley. Both programs are based on this textbook series.

Zvezda’s most enduring passion remains working at the BMC with young students motivated to discover new mathematical wonders. She spends a lot of time with her girl and boy, studying with them foreign languages and playing the piano, and teaching them mathematics the “Bulgarian’’ way.

For further information e-mail

mfisher@wcupa.edu

.

West Chester University
Spring 2019 Statistics Colloquium

presents

Statistical Methodologies in Biopharmaceutical Research
Dr. Dror Rom, President and Chairman of Prosoft Inc

Monday, March 25
25 University Ave, Room 155

3:15 PM

Rom Spring 2019 Colloquium

Rom Spring 2019 Colloquium

Development of new therapies require the study of their chemical and physical characteristics, as well as their effect on biological systems, animals, and humans. To seek and obtain approval from the Food and drug Administration (FDA), a new therapy must be proven to be safe and effective. This requires testing new therapies under various conditions, initially in animal studies, then normal volunteers, and finally in patients. Proving safety and efficacy requires the use of rigorous statistical methodologies to ensure that type-1 error, i.e., the approval of an ineffective or unsafe therapy, is below the acceptable 0.05 level, while also providing high assurance (80-90% power) that a safe and effective new therapy will be granted approval. These objectives are achieved through robust study designs and analyses. Elements of good study designs require appropriate and efficient randomizations, blinded evaluations, understanding and minimizing sources of variability, selection of best statistical models, addressing unexpected and interfering factors, and correctly interpreting the results. Examples from the various stages of pharmaceutical development will be discussed.

 

For further information e-mail

SMCCLINTOCK@wcupa.edu

 

 

 

West Chester University
Spring 2019 Statistics Colloquium


presents

Life After My Masters in Applied Statistics From WCU - A Career and Research Journey
Dominique A. McDaniel Department of Statistics Purdue University

Thursday, March 21
25 University Ave, Room 158
4:15 PM

Diseases are typically characterized by multiple measures, and subjects may choose to discontinue particular treatments due to intermediate outcomes, such as adverse side-effects. Accordingly, clinical trials for drug approvals must both evaluate treatment effects on multiple endpoints with appropriate Type I error rate control and account for intermediate outcomes to prevent biased inferences that could arise due to confounding. Existing statistical methodologies for clinical trials can only address these two issues separately, and cannot be easily extended to incorporate both simultaneously. In this research presentation, we will discuss the two critical issues of different types of multiple testing requirements for control of distinct Type I error rates, and principal strata that arise due to intermediate outcomes, in Phase III clinical trials. We will also propose a new Bayesian testing methodology that can account for the existence of principal strata while enabling more powerful testing of multiple endpoints in such clinical trials. The potential utility and power of our proposed methodology will be illustrated via simulation studies.

McDaniel Spring 2019 Seminar Picture

Dominique McDaniel is a PhD student in Statistics and Purdue Doctoral Fellow at Purdue University. Dominique completed her undergraduate studies in Mathematics at Cheyney University of Pennsylvania. She also holds a Masters of Science degree from West Chester University. Prior to starting her doctoral studies, Dominique worked in pharmaceutical industry at Eli Lilly & Company in Indianapolis, IN. Dominique's research interests include Bayesian & Spatial Statistics, Clinical- Trial Development, and Causal Inference.

 

For further information e-mail

rrieger@wcupa.edu

.

 

 

West Chester University
Spring 2019 Mathematics Colloquium

presents

JEREMY BRAZAS

West Chester University

Brazas Colloquium Spring 2019 picture

 Brazas Colloquium Spring 2019 picture 2

“What is an infinite word?”

Wednesday, Feb. 27, 2019 from 3:20 to 4:15 PM

UNA 155

Abstract algebra mainly involves the study of binary operations, like usual real number addition and multiplication. In particular, group theory provides a convenient setting for studying symmetry in geometry and for detecting high dimensional holes and twists in topology. By the very nature of a binary operation, it is only possible to form finite products and perform finite cancellations. However, when extra geometric structure is present, e.g. in the real line, it is possible form infinite sums and products like those introduced in Calculus II.

In this talk, I’ll provide a quick introduction to groups, focusing on free groups, whose elements are words in an alphabet. I’ll then discuss how we can extend the usual definition of group to a structure with a well-defined “infinitary operation” in which it is possible to form infinite products/words whose factors/letters might be ordered by the natural numbers or even the rationals. I’ll finish the talk with a discussion about how this kind of “infinitary algebra” is become increasingly important in algebraic topology.

Jeremy Brazas is an Assistant Professor of Mathematics who has been at West Chester University since 2017 and teaches most of the geometry and topology courses. Dr. Brazas has published many papers in algebraic topology, particularly the study of small-scale deformations using tools from group theory. In 2017, Dr. Brazas was awarded the early career MAA Southeastern Distinguished Teaching Award.

For further information e-mail

mfisher@wcupa.edu

 

West Chester University
Spring 2019 Mathematics Colloquium

presents


HAROLD M. EDWARDS

New York University

Edwards Spring 2019 Colloquium Picture


“Are Complex Numbers as Important as Modern Mathematics Makes Them?”

Wednesday, February 20, 2019 from 3:20 to 4:15PM
UNA 155

Familiarity with the field of complex numbers is regarded as the cornerstone of a modern mathematical education. Yet many of the important works of Gauss, Abel, and Galois made no use at all of complex numbers. In most cases, I prefer the originals to the modern expositions of these works, because the originals are more constructive and make clearer the ideas that inspired them. Whether we prefer the originals or the modern versions, it is essential for historians of mathematics to understand that the originals are NOT attempts, awkward and only partially successful, to understand the modern versions. I will try to show the importance of this principle by explaining what I see as the virtues of these early works done without using complex numbers.

Edwards received his Ph.D. in 1961 from Harvard University, under the supervision of Raoul Bott. He has taught at Harvard and Columbia University; he joined the faculty at New York University in 1966, and has been an emeritus professor since 2002.

In 1980, Edwards won the Leroy P. Steele Prize for Mathematical Exposition of the American Mathematical Society, for his books on the Riemann zeta function and Fermat's Last Theorem. For his contribution in the field of the history of mathematics he was awarded the Albert Leon Whiteman Memorial Prize by the AMS in 2005. In 2012 he became a fellow of the American Mathematical Society.

For further information e-mail

mfisher@wcupa.edu

.

Fall 2018

West Chester University

Fall 2018 Mathematics Colloquium

presents

Atish Mitra
Montana Tech University

Mitra talk image

“Exploring Coarse Geometry with Large Scale Dimensions”

Friday, Nov. 30, 2018 from 3:00 to 3:55 PM
UNA 158

This talk will be a gentle introduction to coarse geometry and large scale dimensions. We will introduce the coarse point of view in geometry, see how the idea of large scale dimensions follow naturally from the corresponding concepts in the small scale world (topology), and how these dimensions help us understand coarse geometry.

To make the discussion accessible to a general audience, we will keep the setting in the metric world for most of the talk, with some focus on finite generated groups (the realm of geometric group theory) – before getting into abstract coarse spaces.

Atish Mitra is an Associate Professor of Mathematics who has been at Montana Tech (Butte, MT) since 2013. This will be his first visit to West Chester. Dr. Mitra has authored research publications on a variety of topics, including cohomological dimension, covering space theory, large scale dimensions in coarse geometry, and (more recently) in C* algebras.

For further information e-mail

jbrazas@wcupa.edu

.

 

West Chester University

Fall 2018 Mathematics Colloquium

presents

James Tanton
Mathematical Association of America

image from Tanton 2018 Fall colloquium talk

“Exploding Dots: A Global Mathematics Phenomenon”

 

Wednesday, November 7, 2018 from 5:00 to 6:00PM
BPC 101

October 10, 2017 saw the start of the world’s inaugural Global Math Week, with over one million students and teachers from 168 different countries and territories taking part in a common joyous uplifting piece of classroom mathematics together. And that program has since organically grown to 4.7 million students worldwide. And what is this common thrilling mathematics? It's Exploding Dots: an astounding story that unites grade school, high-school, college mathematics and open unsolved research in one astounding fell swoop!

Come see an extraordinarily simple mathematical construct pushed to the max. Experience deep creative discovery first-hand and true joyous mathematics doing. Come with pencil and paper in hand, and possibly an extra pair of socks as this session will likely knock your first pair right off!

 

James Tanton (PhD, Princeton 1994, mathematics) is an author, a consultant, and an ambassador for the Mathematical Association of America in Washington D.C., currently serving as their Mathematician-at-Large.  He has taught mathematics both at university and high-school institutions. James is absolutely committed to promoting effective and joyful mathematics thinking, learning, and doing at all levels of the education spectrum.

James leads the MAA’s Curriculum Inspirations project, serves as chair of the Advisory Council for the National Museum of Mathematics www.momath.org, and is a founder of The Global Math Project www.theglobalmathproject.org, an initiative transform the entire world’s perception of what mathematics can and should be.  Classroom mathematics too can serve as a portal for human joy, wonder, and delight.

For further information e-mail

mfisher@wcupa.edu

 

West Chester University
Fall 2018 Mathematics Colloquium 

presents

Hanspeter Fischer
Ball State University

Manger Sponge and Tower of Hanoi picture, Fischer colloquium Fall 2018

“The Fundamental Group of the Menger Sponge and the Towers of Hanoi”

Friday, Nov. 2, 2018 from 3:20 to 4:15PM
UNA 158

The classical fractal known as the “Menger sponge” is what remains of a solid cube after drilling infinitely many (ever thinner) holes in each of the x, y, and z-direction, using a dense pattern. While it is topologically only 1-dimensional, its local structure is so complex that it contains a (topological) copy of every (separable metric) space of (topological) dimension 1.

Due to this universal property, it is desirable to have some detailed understanding of the algebraic characteristics of the Menger sponge’s geometry, as captured by Poincaré’s fundamental group (defined via the concatenation of loops). However, the group in question contains uncountably many elements and standard methods fail to model it.

In this talk, we present an explicit and systematic description of the fundamental group of the Menger sponge (along with a generalized Cayley graph) in terms of word sequences. Our word calculus requires only two letters and can be mechanically represented using a variation on the popular “Towers of Hanoi” puzzle. This is joint research with Andreas Zastrow (University of Gdańsk, Poland).

Hanspeter Fischer is an German-born mathematician who has taught at Ball State University since 2000. This will be his first visit to West Chester. He has authored many papers in algebraic and geometric topology and is known for his work on the algebraic topology of spaces with local complications.

For further information e-mail

mfisher@wcupa.edu

.

 

 

COMPUTATIONAL SCIENCE & APPLIED MATHEMATICS SEMINAR
SPEAKER:  Professor Marc Gagné,

Department of Earth and Space Sciences, WCUPA

MGagne@wcupa.edu

Collaborator: Professor Asif ud-Doula

Pennsylvania State University, Scranton

Date: 10/31/2018, Time: 3:15-4:15pm, Room: UNA 127

Title: 3D Magneto-hydrodynamic Modeling of Massive Star Winds

 

Abstract: Massive stars play a crucial role in the star formation history of galaxies, and in the chemical evolution of the universe. Massive stars are so hot and so luminous that they lose a significant fraction of their mass via supersonic winds over the course of their short lifetimes. The discovery of strong magnetic fields on ∼10% of massive stars has important implications for core-collapse supernovae, massive binary evolution, and the eventual formation of black holes and highly magnetized neutron stars. Numerical modeling of magnetized massive-star winds has proven to be computationally very challenging. I will present recent efforts by our group to use the PLUTO Code for Astrophysical Gas Dynamics to model the 3D MHD winds of massive stars and binaries. I will also describe the recently approved Aries High Performance Computing project at WCU, and discuss various ways we can cooperatively undertake and promote HPC projects across campus.


  Marc Gagne Fall 2018 Seminar, picture 1Marc Gagne Fall 2018 Seminar, picture 2

 

3-D MHD simulation, for an aligned-dipole model of the 40 solar-mass star Ori C. The color projections of log density (a) and log temperature (b) clearly show the spontaneous azimuthal symmetry breaking of flow structure.

 
COMPUTATIONAL SCIENCE & APPLIED MATHEMATICS SEMINAR
Mr.   Cameron Campbell 

Department of Mathematics, West Chester University

CC849591@wcupa.edu

Date:  Wednesday, 10/24/2018, Time:  3:15-4:15pm, Room:  UNA 127

Solving the Interface Problem:  An Alternating Direction Implicit   Approach

 

Abstract
Interface problems are a large class of problems arising in Physics, Biology, Engineering and Materials, that study the change of a physical quantity, such as heat or electrostatic potential, propagating across a material interface. Due to the irregular shape of the interface, solutions to interface problems can only be found through numerical approximation. Due to the presence of the interface, classical numerical methods fail to find accurate approximations. This case calls for development of new more accurate and efficient numerical methods. This presentation is an overview of our study of a well-tuned matched Alternative Direction Interface (ADI) method for solving the interface problems with the most general physical interface jump conditions. The ADI method for solving two- dimensional interface problems will be presented, as well as our plan to improve the methods in the aspects of efficiency, accuracy, and stability.

Cameron's Fall Colloquium, other picture

 Image from Cameron Campbell's colloquium talk from Fall 2018

West Chester University

Fall 2018 Mathematics Colloquium

presents

John Stillwell
University of San Francisco

picture from Stillwell Fall 2018 colloquium

“Two Algebraic Theorems of Significance Beyond Algebra”

 

Wednesday, October 17, 2018 from 3:20 to 4:15PM
UNA 125

The theorems that every vector space has a basis and every nonzero ring has a maximal ideal are known to most mathematicians with a smattering of abstract algebra. It may also be known that Zorn's lemma (and hence the axiom of choice) is involved in their proofs.

However, it is not so well-known that each of these theorems is actually equivalent to the axiom of choice, so they are essentially axioms of set theory.

In this talk we will review the history of these discoveries, and also more recent work on countable vector spaces and rings, where the axiom of choice is not involved but the corresponding theorems are again equivalent to a fundamental principle about infinite sets.

 

John Stillwell is an Australian-born mathematician who has taught at the University of San Francisco since 2002. This will be his second visit to West Chester. He is best known for his many books such as Mathematics and Its History (3rd edition, Springer 2010), Elements of Mathematics (Princeton 2016) and Reverse Mathematics (Princeton 2018).

For further information e-mail

mfisher@wcupa.edu

 

 

West Chester University

Fall 2018 Mathematics Colloquium

presents

Keith Weber
Rutgers, The State University of New Jersey

image from Weber Fall 2018 colloquium

“What Do Students Pay Attention to in Lectures in Advanced Mathematics?”

Wednesday, October 3, 2018 from 3:20 to 4:15PM
UNA 127

The goal of this presentation is to account for the following common phenomenon: Students often walk away from mathematics lectures without understanding the main points their professor was trying to convey, even when the professor worked hard to convey these points clearly and explicitly. What I document is students focus their attention on the formal mathematics written on the blackboard and the logical correctness of the proofs they observe. They tend to ignore the conceptual meaning of the concepts covered and the reasoning used to produce these proofs, even though professors cite these as the most important part of their lectures and frequently stress these ideas repeatedly in their lectures. The implication of these findings is that the key to improving student comprehension in advanced mathematics does not only involve giving lectures that are more comprehensible, motivating and insightful. Instead, it also involves helping students understand what advanced mathematics is about and what exactly professors are trying to accomplish in their lectures.

Keith Weber is a professor of mathematics education at Rutgers University. His research focuses on the cognition used in doing and teaching advanced mathematics, with an emphasis on how students read and understand mathematical proofs. Dr. Weber has been awarded the 2004 AERA Early Career Publication Award in mathematics education, an NSF Early Career Award in 2007, the MAA Selden Prize for outstanding research in undergraduate mathematics education in 2010, the Janet Duffin Award for outstanding paper in Research in Mathematics Education in 2012, and the Best Paper Award at the annual Conference for Research in Undergraduate Mathematics Education in 2009, 2010, 2014, and 2017. Much of Dr. Weber's research can be found at: pcrg.gse.rutgers.edu/

For further information e-mail

dilaria@wcupa.edu

 

West Chester University

Program in Applied Statistics

Credit and Financial Analytics

Wednesday, September 26, 2018

25 UNA, Room 127

3:15-4:15

Credit Risk Score Development by Amos Odeleye
Why Math or Statistics?  A Case Study in the Credit Card Industry by Raymond Jia 

Amos Odeleye graduated with a B.S. in Statistics from the University of Ibadan, Nigeria, an M.S. in Applied Statistics from West Chester University and an M.A. in Economics from Temple.  He has more than 15 years of experience as a statistician, risk manager, SAS programmer, and consultant.  He currently works as VP of credit risk at TD Bank.

Raymond Jia is a special advisor at the Federal Reserve Bank of Philadelphia and is responsible for identifying emerging or potential trends.  He has two decades of modeling experience in financial and retail credit risk.  Prior to joining the Federal Reserve he worked as senior VP in the quantitative modeling team at Bank of America.  Raymond earned his Phd in Statistics from Louisiana Tech University and his Master’s and Bachelor’s degrees in Math and Statistics from Peking University.

 

For further information about the Computational Sciences and Applied Mathematics Seminar, e-mail Andreas Aristotelous or Chuan Li.

Note: Talks will be added to the schedule throughout the semester. Check back for updates.

Spring 2018

 

STATISTICS  SEMINAR
Overview of Phase I, II, and III Clinical Trials

James Godbold, Ph.D

Thursday, January 25, 2018

25 UNA, Room 158

3:15-4:00

Drug Evaluation Process (Source: Wikipedia)

Drug Evaluation Process (Source: Wikipedia)

 

Abstract: In this presentation the different phases of clinical trials will be compared and contrasted in terms of the broad clinical objectives of each phase.  Attention will be especially directed to translating the clinical objectives into statistical concepts that will inform the selection of a design at each phase.   A representative design will be used to illustrate each of the three phases, and a phase III design will be illustrated with an example involving treatment for Parkinson’s Disease.

 

James Godbold, Ph.D., is a biostatistician with experience in medical research and teaching.  He received an M.S. in Statistics from Virginia Tech and a Ph.D. in biostatistics from Johns Hopkins.  He worked at Johnson & Johnson with a group developing ultrasound technology for screening mammography before moving to Memorial Sloan-Kettering where he collaborated with investigators in cancer research.  He spent the last 28 years of his career at the Icahn School of Medicine at Mount Sinai in the Biostatistics Division within the Department of Preventive Medicine, attaining the rank of Research Professor.  In this role, he collaborated with clinical investigators, epidemiologists, and basic scientists throughout the medical school, and he taught biostatistics to medical students and to students in the Master of Public Health program.  In 2015 he retired and moved to Chester County; he now enjoys auditing courses at West Chester University.

 

Introduction To Category Theory Seminar

First Seminar by Jeremy Brazas,

Department of Mathematics, West Chester University

Tuesday, January 30th 3:20 - 4:20 pm in UNA 119

Image for first Category Theory Seminar

Schematic representation of a category with objects X, Y, Z and morphisms f, g, g ∘ f. (The category's three identity morphisms 1X, 1Y and 1Z, if explicitly represented, would appear as three arrows, from the letters X, Y, and Z to themselves, respectively.)

Source - Wikipedia

The content that will be discussed in the seminar will follow the recent textbook "Basic Category Theory" by renowned Category Theorist Tom Leinster. The text is freely available for download on the arXiv (Click here for access to the pdf).

 

Seminar Format: The seminar was inspired by graduate student interest so the plan is to have talks/discussions lead by faculty and graduate students on a canonical list of introductory topics. It will be easy to read along with the textbook so one need not know any category theory ahead of time to be a presenter. We will maintain an accessible pace so there is little pressure for presenters. It is perfectly fine if presenters turn the talk into friendly group discussions about things they found issues with. Graduate students are highly encouraged to present.

 

Computational Science and Applied Mathematics Seminar

Wednesday Jan 31st, 2018,

UNA 155,  3:10 - 4:10 PM

Speaker: Xiaojuan (Cathy) Yu

Title: Model Solute Transport in Streams and Rivers with One-Dimensional Transport with Inflow and Storage (OTIS)

 

Picture for Xiaojuan (Cathy) Yu's Spring 2018 Seminar

Abstract

Solute transport in streams and rivers is governed by several differential equations for the hydrologic and geochemical processes. Knowledge of solute fate and transport is needed to aid estimating nutrient uptake in streams, estimating particulate transport, and assessing the fate of contaminants that are released into surface waters. OTIS is a mathematical simulation model used in conjunction with field-scale data to quantify hydrologic processes (advection, dispersion, and transient storage) affecting solute transport and certain chemical reactions (sorption and first-order decay). With given quantities, such as, the mass of the solute and the distance of the reach in the stream, OTIS determines the solute concentrations that result from hydrologic transport and chemical transformation. In this presentation, I demonstrate the application of OTIS with the field data from White Clay Creek and the experimental flumes for my intern experience and current part-time job at Stroud Water Research Center. Our experimental work on the streams and the data analysis using OTIS will help scientists to better understand the solute transport in the local streams and help estimating contamination in the local streams if it happens in the future.

For further information about the Computational Sciences and Applied Mathematics Seminar, e-mail

Andreas Aristotelous

  or

Chuan Li

 .

 

 
 West Chester University
Spring 2018 Mathematics Colloquium

presents

Elizabeth Milićević
Haverford College

“The Rim Hook Rule: Enumerative Geometry via Combinatorics”

Tuesday, February 6, 2018 from 3:20 to 4:15PM
UNA 161

Image for the Elizabeth Milićević Spring 2018 Seminar Talk

The theory of quantum cohomology was initially developed in the early 1990s by physicists working in the field of superstring theory.  Mathematicians then discovered applications to enumerative geometry, counting the number of rational curves of a given degree satisfying certain incidence conditions, but the impact now extends into many other aspects of algebraic geometry, combinatorics, representation theory, number theory, and even back to physics.  In this talk, we will explore the "rim hook rule" which provides a fun and efficient way to compute the quantum cohomology of the Grassmannian of k-dimensional planes in complex n-space.  This talk will be very concrete and completely self-contained, assuming only a background in basic linear algebra.

 

Elizabeth (Liz) Milićević is an Assistant Professor of Mathematics & Statistics at Haverford College, which is a liberal arts college located just outside Philadelphia. She earned her B.S. in Mathematics from Washington & Lee University, followed by a Ph.D. from the University of Chicago in 2009. Before arriving to Haverford in 2012, Liz did postdoctoral work at the University of Michigan and taught for two years at Williams College. Since her own participation in the programs as a student, Liz has remained actively involved in both the Budapest Semesters in Mathematics (BSM) as an inaugural member of the Advisory Council, as well as the Women and Mathematics (WAM) Program at the Institute for Advanced Study, for which she currently serves on the Program Committee.


Liz's research centers around geometric and topological questions about algebraic varieties such as affine Grassmannians and flag varieties using the methods of algebraic combinatorics, representation theory, and even geometric group theory. Her research program has been supported by an AWM/NSF travel grant, a Simons Collaboration Grant, and a Research at Primarily Undergraduate Institutions (RUI) award from the National Science Foundation (NSF). Liz has also held invited research appointments at the Institute for Computational and Experimental Research in Mathematics (ICERM) and the Max Planck Institute for Mathematics in Bonn, Germany. With support from the Mellon Foundation, Liz co-founded the Mid-Atlantic Algebra, Geometry, and Combinatorics (MAAGC) workshop, an annual series currently funded by the NSF. Liz has also participated as a scientific committee member and co-organizer in many other regional, national, and international conferences, including the weekly Combinatorics, Algebra, and Geometry (CAGE) seminar at the University of Pennsylvania, as well as the annual international workshop on Formal Power Series and Algebraic Combinatorics (FPSAC).

 

For further information e-mail

mfisher@wcupa.edu

.

 

Introduction To Category Theory Seminar


Second Seminar by Jeremy Brazas,

Department of Mathematics, West Chester University

Friday, February 9th 3:00 - 4:00 pm in UNA 158

Category Theory Image from Wikipedia

Schematic representation of a category with objects X, Y, Z and morphisms f, g, g ∘ f. (The category's three identity morphisms 1X, 1Y and 1Z, if explicitly represented, would appear as three arrows, from the letters X, Y, and Z to themselves, respectively.)

Source - Wikipedia

The content that will be discussed in the seminar will follow the recent textbook "Basic Category Theory" by renowned Category Theorist Tom Leinster. The text is freely available for download on the arXiv (Click here for access to the pdf).

 

Seminar Format: The seminar was inspired by graduate student interest so the plan is to have talks/discussions lead by faculty and graduate students on a canonical list of introductory topics. It will be easy to read along with the textbook so one need not know any category theory ahead of time to be a presenter. We will maintain an accessible pace so there is little pressure for presenters. It is perfectly fine if presenters turn the talk into friendly group discussions about things they found issues with. Graduate students are highly encouraged to present.

 

Introduction To Category Theory Seminar

Third Seminar by Jeremy Brazas,

Department of Mathematics, West Chester University

Tuesday, February 13th 3:20 - 4:20 pm in UNA 119

Category Theory Image

Schematic representation of a category with objects X, Y, Z and morphisms f, g, g ∘ f. (The category's three identity morphisms 1X, 1Y and 1Z, if explicitly represented, would appear as three arrows, from the letters X, Y, and Z to themselves, respectively.)

Source - Wikipedia

The content that will be discussed in the seminar will follow the recent textbook "Basic Category Theory" by renowned Category Theorist Tom Leinster. The text is freely available for download on the arXiv (Click here for access to the pdf).

 

Seminar Format: The seminar was inspired by graduate student interest so the plan is to have talks/discussions lead by faculty and graduate students on a canonical list of introductory topics. It will be easy to read along with the textbook so one need not know any category theory ahead of time to be a presenter. We will maintain an accessible pace so there is little pressure for presenters. It is perfectly fine if presenters turn the talk into friendly group discussions about things they found issues with. Graduate students are highly encouraged to present.

 

Computational Science and Applied Mathematics Seminar


Wednesday February 21st, 2018,

UNA 155,  3:15 - 4:15 PM

Speaker: Dr. Peter Zimmer

Title: Stochastic Differential Equations: Redux

Flyer Picture for Peter Zimmer's Spring 2018 Seminar Talk

Abstract: Some students, having seen the seminar last fall, asked for more details on the subject, thus we will be REPEATING the same seminar from November 7, 2017 (last fall), with some more examples of computing stochastic ‘derivatives’ and stochastic integrals. Below is a description of last fall’s seminar. In two weeks, March 21, we will have a continuation of this seminar (model various growths processes like stock prices and predator-models).

 

We will introduce stochastic differential equations, which are ordinary differential equations with a random component. We could use this random component in many manners, one in particular is modeling an error term. So you could think of SDE (stochastic differential equations) as an ode (ordinary differential equation) with a built in error term. This lecture will develop what is called stochastic calculus which will be used to solve some SDEs. We will continue this discussion next spring to include numerical solutions to SDEs with many examples.

For further information about the Computational Sciences and Applied Mathematics Seminar, e-mail

Andreas Aristotelous 

or

Chuan Li

.

 

SUZANNE DORÉE

West Chester University
Spring 2018 Mathematics Colloquium
 

presents

 

Suzanne Dorée
Augsburg University

“Writing Numbers as the Sum of Factorials”

Thursday, March 22, 2018 from 1:45 to 2:45PM
UNA 139

In standard decimal notation, we write each integer as the linear combination of powers of 10.  In binary, we use powers of 2.  What if we used factorials instead of exponentials?  How can we express each integer as the sum of factorials in a minimal way? This talk will explore the factorial representation of integers, including historical connections to permutations, a fast algorithm for conversion, and the secret of the “third proof by mathematical induction.”  Next we’ll extend this representation to rational and then real numbers, ending with some remaining open questions.

 

Suzanne Dorée is Professor of Mathematics and chair of the Department of Mathematics, Statistics, and Computer Science at Augsburg University in Minneapolis where she has taught since 1989.  She earned her Ph.D. in Character Theory from the University of Wisconsin-Madison. Her research interests include curriculum and materials development and directing undergraduate research in combinatorics. She enjoys teaching mathematics at all levels using pedagogies that support active and inquiry-based learning. Dr. Dorée is active in the Mathematical Association of America, currently serving as Chair of the MAA Congress and Chair of the Council on Programs and Students.  An avid gardener, cook, and designer, she appreciates the importance of getting her hands dirty, and not just in mathematics.

 

For further information e-mail

mfisher@wcupa.edu

Press Enter to add more content

Image for Peter Zimmer's Seminar talk on April 4th 2018

Computational Science and Applied Mathematics Seminar

Speaker: Peter Zimmer

Wednesday April 4th, 2018,

UNA 155, 3:15 - 4:15 PM

 

Modeling is one application that most people associate to mathematics, something that the non-mathematician can see, use and appreciate. Most models are inherently off, usually that either the model is not quite right and/or the parameters are good guesses. Modeling with stochastic differential equations models the phenomenon and the `noise'. This noise can be used in a number of ways, one being the natural error in the usual models. We will introduce how to model populations using stochastic differential equations with analytic and numerical examples (an emphasis on the numerical models). We only assume that the student knows the main ideas from calculus and a little statistics (mainly the standard normal random variable) which we will review.

For further information about the Computational Sciences and Applied Mathematics Seminar, e-mail

 Andreas Aristotelous

or

Chuan Li

.

 

 

Image for Denny St. John Colloquium

West Chester University
Spring 2018 Mathematics Colloquium

presents

DENNY ST. JOHN
Central Michigan University


“High Leverage Practices – What are the teacher educator
pedagogies? Where is the technology?”


Wednesday, April 18, 2018 from 3:20 to 4:15PM
UNA 161

 

TeachingWorks, a project centered at the University of Michigan, has identified almost twenty high leverage practices critically needed by beginning teachers. This talk will address these questions: What makes these high leverage practices? How are those HLPs integrated into programs? What teacher educator pedagogies are used? Though technology is not mentioned in those practices, various technologies have been integrated into programs for teacher candidates of mathematics, so, just what are those technologies?


Dr. St. John is a life-long mathematics educator with all three of his degrees from the University of Iowa. After teaching mathematics in high school and middle school in Colorado and Iowa for twelve years, he moved to Central Michigan University in Mount Pleasant, Michigan where he has held a faculty position in the Mathematics Department. During his nearly 25 years at CMU he helped develop or modify three of their mathematics education programs for elementary and secondary teacher candidates and the collegiate program for teaching and learning of mathematics and statistics.


Throughout his career, Dr. St. John has contributed to the improvement of mathematics teaching through professional service. He has been a member of the Association of Mathematics Teachers Educators (AMTE) for nearly 15 years, has been a member of the Michigan Council of Teachers of Mathematics (MiCTM) and the National Council of Teachers of Mathematics (NCTM) for over 37 years. He has served as lead editor for the Michigan Council of Teachers of Mathematics Yearbook Committee and as co-editor of Tech Time for Teaching Children Mathematics as a co-editor for the mathematics educations section of Contemporary Issues in Technology and Teacher Education (CITE Journal). He has been a Teachers Teaching with Technology (T3) National Instructor for over 20 years and has elected to serve on the Advisory Board twice. He also serves as a founding member and advisor to the Michigan Program Network, an affiliate of TeachingWorks, centered at the University of Michigan.


For further information e-mail

dilaria@wcupa.edu .

Picture for Huntermann Colloquium

West Chester University
Spring 2018 Mathematics Colloquium
 

presents

SVENJA HUNTERMANN
Dalhousie Univers

“Connecting Combinatorial Games and Commutative Algebra”

 

Monday, April 23, 2018 from 3:20 to 4:15PM
UNA 161

Combinatorial games are 2-player, perfect information games, for example Chess, Go, Nim, and Hex. Many combinatorial games consist of placing pieces on the board, following a set of rules to decide where to place. We will consider a subclass of such games, called strong placement games. This is a large class including well-known examples such as Snort, NoGo, Domineering, and even Nim. Strong placement games have the interesting property of being in a one-to-one correspondence with simplicial complexes and monomial ideals. After introducing all concepts, I will show how this connection between combinatorial games and commutative algebra works. I will also discuss how this link allows for new tools to study various game theoretic properties of strong placement games, as well as some interesting questions in algebra and graph theory arising from it.

 

Svenja Huntemann is an Instructor at Dalhousie University in Halifax, Canada. She completed her BSc at the University of New Brunswick, and her MSc at Dalhousie University. She is currently finishing up her PhD in combinatorial game theory and commutative algebra, while holding her instructor position. Previously, Svenja has run Nova Scotia Math Circles, a provincial outreach program reaching 5000 students annually, and gave over 250 talks as part of this work. She has also sat on the Canadian Mathematical Society board of directors as Student Director, and been active on various other committees. An avid horseback rider, Svenja competes with her horse Bella in eventing, the equestrian version of a triathlon.

 

For further information e-mail

mfisher@wcupa.edu

.

 

 

Computational Science and Applied Mathematics Seminar

Chuan Li (West Chester University)

Thursday April 26th, 2018

UNA 158, 3:25 - 4:25 PM

"An improved ghost fluid method for solving parabolic interface problems"

Picture for Chuan Li's Spring 2018 colloquium talk

 

Many computational biophysics models can be categorized as the parabolic interface problems, in which the propagation of a physical quantity (heat, potential, etc.) across a material interface is modeled by a parabolic Partial Differential Equation (PDE). The standard numerical methods for solving PDE models often perform poorly on the parabolic interface problems due to the fact that the solutions may be non-smooth, or even discontinuous, across the arbitrarily shaped interface of two media. In this talk, I will present a previously developed method, called the Ghost Fluid Method (GFM), for solving elliptic interface problems, and demonstrate a recent development to improve its performance and combine it with appropriate implicit time evolution methods for solving 2D and 3D parabolic interface problems with various complex interfaces. This work is collaborated with Dr. Shan Zhao from the University of Alabama.

Fall 2017

Arthur B. Powell - Rutgers University-Newark  “Challenges and Responses to Prevailing Conceptions of Fractions: Implications for Teaching and Learning”

Wednesday, October 4, 2017 from 3:20 to 4:15PM UNA 155

Powell Talk Picture

A deep understanding of fractions is a gateway to algebra, probability and statistics, the calculus, real analysis, and so on. Though the Common Core State Standards for Mathematics challenge teachers to teach fractions as points on a number line, prospective teachers and practicing teachers still remain focused on part/whole meanings of fractions. However, a response to the challenge needs to offer an alternative and prior conception of fractions as numbers before students are able to arrange them on a number line. Based on cultural historical theory and theoretical and pedagogical of Gattegno (Cuisenaire & Gattegno, 1954; Gattegno, 1970, 1987), I will propose such an alternative, robust conception of fractions and a new instructional model that has been shown to overcome documented shortcomings of a part/whole conception of fractions. In ending my talk, I will discuss the implication of the alternative conception and new instructional model for the teaching and learning of school mathematics.

 

Dr. Arthur B. Powell earned his B.S. from Hampshire College in mathematics and statistics, M.A. in mathematics from the University of Michigan, and Ph.D. in mathematics education from Rutgers, the State University of New Jersey. Powell’s primary research interests include the subordination of teaching to learning; mathematics learning through collaboration, discourse, and technology; teacher learning through communities of practice; ethnomathematics; and mathematics for social justice. As a PI on a collaborative, five-year NSF Discovery Research K-12 grant, he has been working with researchers from Drexel University and the Math Forum at the National Council of Teachers of Mathematics to design, implement, and assess the teaching and learning of dynamic geometry through an online collaborative environment, Virtual Mat Teams with GeoGebra His books (co-edited and co-authored) are Math: A Rich Heritage (1995, Globe Fearon); Ethnomathematics: Challenging Eurocentrism in Mathematics Education (1997, SUNY); A Escrita e o Pensamento Matemático: Interações e Potencialidades [Writing and Mathematical Thinking: Interactions and Potentialities] (2006, Papirus); Culturally Responsive Mathematics Education (2009, Routledge); Combinatorics and Reasoning: Representing, Justifying and Building Isomorphisms (2011, Springer); and Métodos de pesquisa em educação matemática—Usando escrita, vídeo e internet [Research methods in Mathematics Education–Using writing, video, and the Internet] (Mercado de Letras, 2015).

For further information e-mail

dilaria@wcupa.edu

 

 

Paul Zeitz - University of San Francisco “The BS Graph and Other Hidden Images”

Tuesday, October 17, 2017 from 3:20 to 4:15PM UNA 162

Zeitz Talk Image

You have certainly been told that it is good to draw pictures when thinking about math.  We will show several examples that will convince you that visualization is amazingly powerful, both for understanding things as well as for discovering new things that we don't understand.

Paul Zeitz was an undergraduate at Harvard University and he earned his Ph.D. from UC Berkeley in 1992.  After completing his Ph.D. he accepted a teaching position at the University of San Francisco, where he has been ever since.  Before graduate school, Dr. Zeitz taught high school for six years.  Paul is a graduate of Stuyvesant High School in NY and he was a member of the first American IMO team in 1974 and coached several IMO teams in the 1990s, including the "Dream Team" of 1994 which received a perfect score, for the first and only time in history.  He is the co-founder of the SF Math Circle, the Bay Area Mathematical Olympiad, and Proof School.  Dr. Zeitz received MAA’s Haimo Award in 2003.  He wrote The Art and Craft of Problem Solving in 1999 and he has done a 12-hour video series with the same name with The Teaching Company.  Paul’s wife was a national park service ranger so he has had the good fortune of spending many summers and several winters in Yellowstone National Park.

For further information e-mail

mfisher@wcupa.edu

 

 

Miklós Bóna - University of Florida “An Overview of Pattern Avoiding Permutations: Something Old, Something New”

Wednesday, October 25, 2017 from 3:20 to 4:15PM UNA 155

Bona Talk Image

We say that a permutation p contains the shorter permutation q as a pattern if p contains |q| entries, not necessarily in consecutive positions, whose pairwise relations to each other are the same as those of the entries of q.  For instance, p = 3576241 contains q = 231, since the first, third and fifth entries of p relate to each other as the entries of q, namely the leftmost entry is the second smallest, the middle one is the largest, and the rightmost entry is the smallest.

In the first part of this talk, we will review the early results of this fascinating and rapidly growing topic, including the celebrated Marcus-Tardos theorem from 2003.  That theorem shows that for any given pattern q, the number of permutations of length n that avoid q is simply exponential, that is, there exists a constant cq so that Sn(q) ≤ cqn.

In the second part, we discuss some more recent developments, such as a sequence of results on the extremely tenacious pattern 1324, a surprising connection to stack-sortable permutations, and the disproof of numerous long-standing conjectures.  Many open problems will also be discussed.

 

Miklós Bóna completed his undergraduate studies in Budapest and Paris, then obtained his Ph.D. at MIT in 1997 as a student of Richard P. Stanley.  Since 1999, he has taught at the University of Florida, where in 2010 he was inducted to the Academy of Distinguished Teaching Scholars.

Bóna's main fields of research include the combinatorics of permutations, as well as enumerative and analytic combinatorics.  Since 2010, he has been one of the editors-in-chief of the Electronic Journal of Combinatorics.

For further information e-mail

mfisher@wcupa.edu

 

COMPUTATIONAL  SCIENCE & APPLIED MATHEMATICS  SEMINAR

 Peter Zimmer
Department of Mathematics, West Chester University

PZimmer@wcupa.edu

Date:  11/01/2017,  Time:  3:15-4:15pm,  Room:  UNA 155

Talk Title:  Stochastic Differential Equations

 

Picture for Peter Zimmer's seminar talk, Fall 2017

Abstract

We will introduce stochastic differential equations, which are ordinary differential equations with a random component. We could use this random component in many manners, one in particular is modeling an error term. So you could think of sde (stochastic differential equations) as an ode (ordinary differential equation) with a built in error term. This lecture will develop what is called stochastic calculus which will be used to solve some sdes. We will continue this discussion next spring to include numerical solutions to sdes with many examples.

COMPUTATIONAL  SCIENCE & APPLIED MATHEMATICS  SEMINAR

Eric Stachura
Department of Mathematics, Haverford College

estachura@haverford.edu

Date:  11/08/2017,  Time:  3:15-4:15pm,  Room:  UNA 155

Talk Title:  Weak Solutions to Refraction Problems in   Metamaterials

Stachura talk image 1Stachura talk image 2Stachura talk image 3

Abstract

The notion of negative refraction goes back to the work of V. Veselago in the late 1960’s, in which he proposed that light can be bent in such a way that when light strikes a surface, the refracted ray makes a negative angle with the normal. Materials possessing such property do not exist naturally, but have been constructed in the laboratory in the early 2000’s. The research on the behavior of these materials, called metamaterials, has been extremely active in recent years, especially for applications to invisibility cloaking and the development of a “superlens", which can in principle image objects at the smallest scales. In this talk, I will discuss certain refraction problems in the setting of metamaterials. In particular, I will show how to obtain weak solutions (defined analogously to Brenier solutions for the Monge-Ampère equation) to these problems. For one variant of these problems, as in the case of positive refractive indices, a fully nonlinear PDE of Monge-Ampère type arises. Along the way, I will show that surfaces possessing a certain uniform refraction property, in the setting of metamaterials, are in general neither convex nor concave, which greatly contrasts with the case of positive refractive indices. This last result is joint work with Cristian Gutiérrez (Temple).

West Chester University
Fall 2017 Mathematics Colloquium

presents

Shiv Gupta
West Chester University

 

image for Shiv Gupta's Colloquium Talk

“John H. Conway’s Doomsday Algorithm
(How to Find the Day of the Week for Any Date on the Gregorian Calendar in Five Seconds or Less)”

Wednesday, November 29, 2017 from 3:20 to 4:15PM
UNA 155

In this talk, we shall discuss what is known as John H. Conway’s Doomsday Algorithm for finding the day of the week for any date on the Gregorian calendar.  John H. Conway attributes the idea behind this algorithm to a paper by Lewis Carroll, the author of Alice in Wonderland (published in the March 31, 1887 issue of the journal NATURE).  The only pre-requisite to understand this algorithm is addition and subtraction of natural numbers below 100.  Following this short talk, there will be plenty of time for Q&A and illustration/demonstration of the Doomsday Algorithm.

For further information e-mail

mfisher@wcupa.edu

 

COMPUTATIONAL SCIENCE & APPLIED MATHEMATICS SEMINAR

James Mc Laughlin

Department of Mathematics, West Chester University

jmclaughlin2@wcupa.edu

Press Enter to add more content



Date:  12/06/2017, Time:  3:15-4:15pm, Room:  UNA 155

Talk Title:  The Mathematics behind Some Modern Public Key Cryptosystems

German Lorenz cipher machine, used in World War II to encrypt very-high-level general staff messages (source: Wikipedia)

German Lorenz cipher machine, used in World War II to encrypt very-high-level general staff messages (source: Wikipedia)

Cryptography could be regarded as “applied number theory”, and modern cryptography is also heavily reliant on computers, so modern cryptography is also highly computational. In this talk the mathematics behind some modern public key cryptosystems are examined (in a public key cryptosystem, the enciphering key is public knowledge, and anyone can encipher and send a message, but only someone with deciphering key can decipher an enciphered message).

This talk will require little mathematics beyond multiplication of integers, and the concept of a remainder when one integer is divided by another.

For further information about the Computational Sciences and Applied Mathematics Seminar, e-mail

Andreas Aristotelous

or

Chuan Li.

 

Spring 2017

Shiv Gupta - West Chester University, “Polynomials in Z[x] Which Are Irreducible Over Z But Are Reducible mod p, For Every Prime p"

Wednesday, May 3, 2017 from 3:20 to 4:15PM, UNA 155

Republique Francaise Monetary Note

It is well known that the polynomial x4 + 1 in Z[x] is irreducible over Z but is reducible mod for every prime. We shall discuss this phenomenon and also give a method to create such polynomials and give several examples.

For further information e-mail

Michael Fisher

or

Shiv Gupta

Stephen F. West- SUNY Geneseo, “Congruence by Superposition – Euclid Made Whole

Wednesday, April 19, 2017 from 3:20 to 4:15PM, UNA 161

Colored Puzzle pieces fitting together

In The Elements, Euclid defined triangle “congruence” using the notion of superposition, but the idea was never formally postulated. In the 1899, in his book, Foundations of Geometry, David Hilbert set forth a modern treatment of triangle congruence by postulating by Side-Angle-Side axiom. In 2010, CCSSM Standards, returning to the notion of superposition, redefined congruence using rigid motions. In this talk we will discuss the questions: (1) Are these notions of triangle congruence equivalent, and (2) what constitutes a “proof” under the CCSSM Standards.

Dr. West is a life-long mathematics educator with degrees from SUNY Oswego, Rutgers University and the University of Texas at Austin. After teaching mathematics in high school for ten years, he moved to SUNY Geneseo where he held a faculty position in the Mathematics Department. During his thirty years at Geneseo he coordinated their highly successful secondary mathematics certification program, served as Chair of Mathematics and was promoted to the rank of Distinguished Teaching Professor of Mathematics.

Throughout his career, Dr. West has contributed to the improvement of mathematics teaching with his professional service. He has been a member of the Association of Mathematics Teachers of NYS for over 40 years, serving as its 38th president and as the editor of the NYS Mathematics Teachers’ Journal. He has served the Mathematical Association of America as the New York State Regional Coordinator of the American High School Mathematics Examination as a member of the Committee on Technology in Math Education and as a Visiting Lecturer. In addition, he has served the National Council of Teachers of Mathematics as both member and chair of the Regional Services Committee.

Dr. West’s teaching and leadership has been recognized with the SUNY Chancellor’s Award for Excellence in Teaching and the MAA Distinguished Teaching Award. In his retirement, Dr. West is a T3 National Instructor and continues to do mathematics, work on his old cars, read avidly and most importantly, watch his ten grandchildren grow!

For further information e-mail

Michael Fisher

or

Shiv Gupta

Mr. Lane A. D'Alessandro - West Chester University, Optimizing Overall Reproductive Fitness Using Resource Allocation

April 12, 2017, 3:15-4:15 pm, UNA 158

West Chester University Computational Sciences and Applied Mathematics Seminar

Snail

Fitness is environment-specific, and many organisms have evolved the ability to alter resource allocation based on perceived environmental cues (e.g., food/mate availability, predation risk). We are developing an optimization model that examines relative resource allocation into growth, reproduction, and defensive morphology under varying conditions. Specifically, we are investigating how reproductive investment in terms of rate and amount changes as a function of predation risk. The survival function utilizes a modified Gompertz-Makeham law for mortality. The fecundity function is the product of the reproductive schedule and output. The reproductive schedule utilizes a gamma distribution and the output is modeled exponentially. Optimizing the fitness model yields the optimal resource allocation and resulting reproductive schedule. This allows us to understand the effects of phenotypic plasticity in life-history traits on the evolution of a post-reproductive period. As predation risk increases, more resources are allocated towards defenses. However, once predation risk is sufficiently high, it becomes more beneficial for the individuals to allocate all their resource towards reproduction.

Mr. Ben Plumridge,Optimizing Overall Reproductive Fitness Using Resource Allocation

Mentor: Dr. Andreas Aristotelous

West Chester University Computational Sciences and Applied Mathematics Seminar

Graph

A model is being developed that simulates the dorsal closure process, a stage of drosophila embryogenesis. The apical side of the amnioserosa (a cell monolayer- wound like region on the surface of the embryo) is being represented through polygonal two dimensional representations of cells, with forces acting on their edges and nodes. Those forces are being regulated by the action of actin and myosin. The model is granular enough so various subregions can be studied to the level of the individual cell. Various equations are being tested, describing the evolution of forces generated by the action of the actomyosin network, which itself might be biochemically driven. Eventually, the model may be used to understand mechanisms of dorsal closure that are not easily analyzed in the lab or produce simulation results that might drive new experiments.

Isaac Klapper, Department of Mathematics, Temple University -EXCLUSION AND CLOCK BEHAVIOR IN AN OSCILLATING CHEMOSTAT

April 05, 2017, 3:00-4:00pm, UNA 158

West Chester University Computational Sciences and Applied Mathematics Seminar

Graph

Microbes form a large and central part of the global ecosystem. As a consequence of their short reproductive time and their proficiency at exchange of genetic material, it seems plausible that microbes in communities operate at high efficiency (in terms of free energy and nutrient usage) in many contexts. One obvious issue of interest would be the description of species within a microbial community and its dependence on the local environment. Description of niche structure of organisms and how that structure impacts competitiveness has long been a topic of interest among ecologists. Here, in the context of Yellowstone National Park microbial mat, we discuss influence of temporal environment on microbial community species structure. The possibilities of competitive exclusion and clocking behavior are discussed.

Biographical Note:
Professor Isaac Klapper is an expert in fluid dynamics and the mathematical modeling of the various aspects of biofilm formation, evolution and its interactions with its environment. He is the author of numerous publications and the receiver of several grant awards. He received his A.B. in Mathematics from Harvard University in 1986 and his PhD in Applied Mathematics from the Courant Institute, New York University (NYU) in 1991. He was an NSF postdoctoral fellow at the University of Arizona and a visiting assistant professor at UCLA in the Departments of Applied Mathematics. He served as a tenure-track and tenured faculty and rose to the rank of Full Professor at Montana State University where he was also affiliated with the Center of Biofilm Engineering (CBE) at Montana State. In 2012 he moved to Temple University with the appointment of Full Professor, Department of Mathematics with secondary appointment in the Department of Biology.

Ann Trenk, Wellesley College - The World of Graph Theory: Coloring, Scheduling and Solving Mysteries

Monday, March 27, 2017 from 3:20 to 4:15pm, UNA 162

Graph

Graph Theory is a field of mathematics that encompasses tools and techniques for modeling and solving real world problems. In this talk, we explore graph coloring and some of its applications and show how graph theory can be useful in problem solving. In one of our problems, six professors are suspects in a library theft. We'll use their testimony together with some graph theory to identify the guilty party. We will also discuss related current research, some of which involves undergraduates. This talk is designed for a general audience.

Ann Trenk is a Professor of Mathematics at Wellesley College where she has taught since 1992. She has published over 30 research articles focused primarily on structured families of graphs and partially ordered sets. Her book, Tolerance Graphs, coauthored with Martin Golumbic, was published by Cambridge University Press in 2004.

In addition to teaching at Wellesley College, Professor Trenk has taught high school students both as a full-time teacher and in summer programs, and more recently has organized math enrichment activities for elementary school children. Professor Trenk was awarded the Wellesley College Pinanski Prize for Excellence in Teaching in 1995.

Lane D'Alessandro and Maggie Celentano - Using Rarefaction to Assess Optimal Sampling Effort in Stream Invertebrates

West Chester University Computational Sciences and Applied Mathematics Seminar

March 22, 2017, 3:15 - 4:15pm, UNA 158

Membership Function Plots

In ecological studies, identifying the number of species present in an ecosystem, also known as identifying the species richness, is key to measuring biodiversity and ecological stability. In order to analyze the species richness of a system, we performed a process known as rarefaction. Through rarefaction, we attempted to identify the number of samples needed to accurately represent a system.

We examined different methods of performing rarefaction, including the combinatorics method and the bootstrap method, and compared them. Both of these methods allowed us to construct a rarefaction curve that plots the number of species as a function of the number of samples taken. Using these rarefaction curves, we then extended the model by examining initial costs and coverages of the samples. These examinations served to identify the number of samples needed to represent the ecosystem. Once we identified the number of samples needed, we compared the results of different months and locations.

As a possible cause of any present differences between months and locations, we examined the number of degree days that occurred over each month. Degree days did not appear to cause any differences between locations.

Ben Plumridge and Cathy Yu - Developing a Habitat Suitability Index for Brown Trout in White Clay Creek Using Fuzzy Logic

West Chester University Computational Sciences and Applied Mathematics Seminar

March 22, 2017, 3:15 - 4:15pm, UNA 158

We are studying which abiotic parameters best explain the presence or absence of brown trout in White Clay Creek and will subsequently use those parameters to develop a Habitat Suitability Index (HSI). The goal of finding an HSI for different habitats is to help researchers improve decision making and increase understanding of species-habitat relationships. Using the dataset provided by Stroud Water Research Center, we are analyzing the correlation or lack thereof between environmental factors and the quantity of brown trout present in that environment. Using fuzzy logic, we are developing a model to determine an HSI, which is a numerical index that represents the capacity of a given habitat to support a selected species.

Klaus Volpert, Villanova University - Financial Derivatives: Engines of the Economy or Weapons of Mass Destruction

March 1, 2017, 3:20 to 4:15pm

Volpert

Financial Derivatives is the name for a wide variety of products traded in today’s financial markets. Used mostly for risk management, they can also be used for speculation and gambling. They can be both dangerous and beneficial. From a mathematical perspective, the key challenge is to properly evaluate the price and the risk inherent in a derivative contract. In this talk I will give an overview of the three main methods to price derivatives:

  1. The analytic method by Black and Scholes.
  2. The discrete approach by Cox-Ross-Rubinstein, based on binary trees.
  3. Monte-Carlo Methods, which average information obtained from simulating a large number of random walks of the underlying.

Klaus Volpert is associate professor of mathematics at Villanova University. He won the University’s Lindback Award for Excellence in Teaching in 2009 and the EPaDel’s Crawford Award in 2011. Early studies in his native Germany and the 1989 PhD from the University of Oregon were in pure mathematics (algebraic topology), but he has more recently been interested in problems in applied mathematics, specifically at the intersection with finance and economics.Outside of mathematics, he enjoys making music with his family and friends.

Dr. Baoling Ma1,Mathematical Modeling as a Tool for Investigating Lethal and Sub-Lethal Impacts of Environmental Disasters on Sperm Whales

February 22, 2017, 3:00-4:00pm , UNA 158

1Assistant Professor of Mathematics, Department of Mathematics, Millersville University

West Chester University Computational Sciences and Applied Mathematics Seminar

Graph

The sperm whale is the largest toothed whale. It is currently on the list of vulnerable species by theInternational Union for the Conservation of Nature and Natural Resources (IUCN). Even though a lot of research has been dedicated to sperm whales, very little is known about their population dynamics. In this talk I will first go over the brief results of our study to investigate the demographic characteristics of the endangered sperm whale population. Our results indicate that these survivorship rates are very delicate, and a slight decrease could result in a declining population, leading to extinction.

The Deepwater Horizon (DWH) oil rig exploded in April of 2010. This environmental disaster has encouraged substantial research efforts to better understand how such disasters affect the resilience of the Gulf of Mexico (GoM) ecosystem. In this talk I will demonstrate how mathematical models can be applied to understand the impacts of such disasters on the dynamics and persistence of marine mammal populations in the Northern GoM under certain assumptions. Matrix population models are developed to study the lethal and sub-lethal impacts. We investigate how reductions in the survival probabilities and in fecundity affect the sperm whale population. We then investigate the long term effect of such an environmental disaster on the population of sperm whales in the GoM. We also inspect the effects of demographic stochasticity on the recovery probabilities and the recovery time of the population.

A.C. Aristotelous1 Diffuse Interface Models and Their Numerical Solution

February 15, 2017, 3:00-4:00pm, UNA 148

1Department of Mathematics, West Chester University

Graph

Partial Differential Equation Models based on Cahn-Hilliard type equations will be discussed. Those Models have applications in various fields from material science to biology. Discontinuous Galerkin Finite Element Methods for the solution of Cahn-Hilliard type equations will be presented. For the underline schemes: solvability, energy stability, convergence and error estimates will be established. Simulation results will be provided. Current and future directions will be discussed.

For further information about the Computational Sciences and Applied Mathematics Seminar, e-mail

Andreas Aristotelous

or

Chuan Li.

Fall 2016

Michelle Cirillo, University of Delaware, Decomposing and Scaffolding the Introduction to Proof

Decomposition of practice can be described as the breaking down of a complex practice into its constituent parts. Mathematical practices, such as proving and mathematical modeling, tend to be complex and in need of productive decompositions. Decompositions are necessary if we are to make progress in teaching important disciplinary practices and sustaining the call to have students’ classroom experiences in each subject more closely resemble their respective disciplines. Through this colloquium, I will provide insights into the work of teachers in practice, specifically some of the conditions, challenges, and issues related to teaching proof at the secondary level. In addition, potential solutions for addressing these challenges will be presented through data and findings from the three-year research project. These findings have implications for teaching reasoning that leads to proof at the middle school level and for teaching proof at the post-secondary level.

Dr. Michelle Cirillo received her PhD from Iowa State University in 2008 after working as a high school mathematics teacher in NY for 8 years. Cirillo’s primary research interests include the teaching of disciplinary practices (e.g., mathematical proof and modeling), classroom discourse, and teachers’ use of curriculum materials. She is especially interested in the space where these three areas intersect. As a co-PI on a five-year NSF Discovery Research K-12 grant, Cirillo has been working with researchers from Michigan State University to design and pilot professional development materials to support secondary mathematics teachers’ facilitation of classroom discourse. In 2010, Cirillo was awarded a research fellowship from the Knowles Science Teaching Foundation to pursue a three-year study on the teaching of proof in high school geometry. She is currently the PI of an NSF-CAREER grant, which builds on the Knowles project. Cirillo was the lead author on the article, Developing curriculum vision and coherence: Adapting curriculum to focus on authentic mathematics, which won a National Council of Teachers of Mathematics Research and Practice Outstanding Publication Award in 2010.


Chuan Li, Department of Mathematics, WCU - Parallel computing of solving Poisson-Boltzmann equation and calculating corresponding electrostatics for large macromolecules and complexes

One common approach to study electrostatics in molecular biology is via numerically solving the Poisson-Boltzmann equation (PBE) and calculating the electrostatic potential and energies. However, all existing numerical methods for solving the PBE become intolerably slow when solving the PBE for large macromolecules and complexes consisting of hundreds of thousands of charged atoms due to high computational cost. Parallel computing is a cutting-edge technique which teams up multiple computing units and significantly speeds up the calculation. In this talk, I will present a set of parallel computing algorithms developed to solve the PBE. As a demonstration of efficiency and capability of these algorithms, computational results obtained by implementing these algorithms in the DelPhi software on live large macromolecules and complexes are given as well.


Chuan Li, Department of Mathematics, WCU - The Extended Parareal Algorithm for Time-and-Space Parallel Computing of the Cable Equation

The Parareal Algorithm introduced by Jacques-Louis Lions, Yvon Maday, and Gabriel Turinici is an efficient method for achieving parallel computing in time direction for solving time-dependent partial differential equations. However, we have not seen in literature a method to effectively incorporate the spatial-parallelized schemes into the framework of the Parareal algorithm in order to obtain both temporal and spatial parallel computing. In this work, we present a work to extend the original Parareal algorithm to effectively embrace spatial-parallelized solvers to accomplish time-and-space parallel computing of the Cable equation on long cardiac tissues.

Spring 2016

Lawrence Washington, University of Maryland -Cannonballs, Donuts, and Secrets: An Introduction to elliptic curve cryptography

Elliptic curves have been around for centuries, but recently they have become very important in cryptography. I’ll start with a light introduction to elliptic curves and then discuss some recent cryptographic applications.

Larry Washington is a professor of Mathematics at the University of Maryland in College Park. He earned his Ph.D. from Princeton University under the supervision of Kenkichi Iwasawa. He has published over 50 research papers and has supervised 25 Ph.D. students. He is the author or coauthor of the following books: Cyclotomic Fields, Elliptic Curves - Number Theory and Cryptography, An Introduction to Number Theory with Cryptography (with James S. Kraft), Introduction to Cryptography with Coding Theory (with Wade Trappe), and Elementary Number Theory (with James S. Kraft).


Heather Russel, University of Richmond - Which graphs are coloring graphs?

For a simple graph G and a positive integer k, the k-coloring graph of G, denoted Ck(G), is the graph whose vertex set is the set of all proper (vertex)k-colorings of G with two k- colorings adjacent if and only if they differ at exactly one vertex of G. In this talk, we consider the question: Which graphs are coloring graphs? We give examples of families of graphs whose members are always, sometimes, and never coloring graphs and discuss techniques useful for investigating this inverse problem. No prior knowledge of graphs is necessary. We will begin with the definition of a graph and give lots of examples along the way! (This is joint work with Julie Beier (Earlham College), Janet Fierson (LaSalle University), Ruth Haas (Smith College), and Kara Shavo (Presbyterian College).)

Dr. Heather M. Russell attended Washington College in Chestertown, MD for her undergraduate work and received degrees in both math and computer science in 2003. She received her Ph.D. in mathematics from The University of Iowa in 2009. She completed two two-year post-doctoral positions at Louisiana State University and University of Southern California before returning to her undergraduate alma mater to teach as an assistant professor for two years. She is now in her second semester as assistant professor at University of Richmond and very much looking forward to breaking the pattern of moving every two years! Her work focuses on knot theory and its connections to graph theory and combinatorial representation theory. She is also very interested in promoting undergraduate research in mathematics and broadening participation in STEM fields. In her spare time, she enjoys running, cooking, traveling, and seeing live music.


Janet Caldwell, Rowan University - Concepts, Skills, and Problem Solving: Ways to Do It All

The demands for raising student achievement ask teachers to “do it all” – teach more math to more students in more depth with more rigor using more technology. Learn about ways to incorporate the development of conceptual understanding, computational and procedural skills, and problem solving to help students learn more. Examples will be drawn from a variety of topic areas in grades 6-12.

Dr. Janet Caldwell received her bachelor’s degree cum laude from Rice University, earning a M.A. and Ph.D. from the University of Pennsylvania. Janet began her career as a secondary mathematics teacher in Texas and Pennsylvania, followed by five years at Research for Better Schools in Philadelphia before coming to Glassboro State College in the fall of 1983. Dr. Caldwell has been an active leader in mathematics education statewide, regionally, and nationally in leadership roles of several different organizations. As the founder and director of the South Jersey Mathematics, Computer, and Science Instructional Improvement Program, Dr. Caldwell has received approximately $11,000,000 in grants to provide professional Statewide Systemic Initiative Regional Center at Rowan; an NSF Math Science Partnership project with Bridgeton, Millville, Vineland, and Toms River; Project SMART with Camden, Gloucester City, and Pennsauken; and the IMPACT project with Millville and Pennsauken. Among many research publications, Dr. Caldwell recently wrote three books for the National Council of Teachers of Mathematics on developing understanding of elementary arithmetic and is an author for Pearson’s elementary mathematics textbooks, enVision Math. The Carnegie Foundation selected Dr. Caldwell as the NJ Professor of the Year in 1994 and she received the Distinguished Teaching Award for the NJ Section of the Mathematical Association of America in 2000. She was honored with the Max Sobel Outstanding Mathematics Educator Award in 1994 by the Association of Mathematics Teachers of NJ and by the NJ Association for Supervision and Curriculum Development with the Ernest Boyer Outstanding Educator Award in 2004.Kraft).


 

Robert Sedgewick, Princeton University - If You Can Specify It, You Can Analyze it - The Lasting Legacy of Philippe Flajolet

The "Flajolet School" of the analysis of algorithms and combinatorial structures is centered on an effective calculus, known as analytic combinatorics, for the development of mathematical models that are sufficiently accurate and precise that they can be validated through scientific experimentation. It is based on the generating function as the central object of study, first as a formal object that can translate a specification into mathematical equations, then as an analytic object whose properties as a function in the complex plane yield the desired quantitative results. Universal laws of sweeping generality can be proven within the framework, and easily applied. Standing on the shoulders of Cauchy, Polya, de Bruijn, Knuth, and many others, Philippe Flajolet and scores of collaborators developed this theory and demonstrated its effectiveness in a broad range of scientific applications. Flajolet's legacy is a vibrant field of research that holds the key not just to understanding the properties of algorithms and data structures, but also to understanding the properties of discrete structures that arise as models in all fields of science. This talk will survey Flajolet's story and its implications for future research.

Robert Sedgewick is the founding chair and the William O. Baker Professor in the Department of Computer Science at Princeton. Prof. Sedgewick's research interests revolve around algorithm design, including mathematical techniques for the analysis of algorithms. He has published widely in these areas and is the author of seventeen books, including a well-known series of textbooks on algorithms that have been best-sellers for decades. Besides "Algorithms, Fourth Edition (with K. Wayne) his other recently published books are “Computer Science: An Interdisciplinary Approach" (with K. Wayne) and "Analytic Combinatorics" (with P. Flajolet). With Kevin Wayne, he is currently actively engaged in developing web content and online courses that have reached over one million people.


Dr. Lin Tan, West Chester University -The Postage Stamp Problem Revisited.

We will take another look at the Postage Stamp Problem in elementary number theory. Instead of the congruence argument, we present a Pickture method, using a graph method so answers to many questions can be seen immediately through the graph. Interesting connections to the cyclotomic polynomials (in abstract algebra) and q-series will be provided, together with the generating function for the problem.

The presentation is totally accessible to undergraduate math students.

Fall 2015

Andreas Aristotelous, West Chester University, Modeling Heterogeneous Biofilms

Free-living biofilms have been subject to considerable attention, and basic physical principles for them are generally accepted. Many host-biofilm systems, however, consist of heterogeneous mixtures of aggregates of microbes intermixed with host material and are much less studied. Here we study models in order to analyze a key property, namely transport limitation and argue a continuous crossover between two regimes is possible:

  1. a homogenizable mixture of biofilm and host that in important ways acts effectively like a homogeneous macro-biofilm and
  1. a relatively sparse distribution of separated micro biofilms within the host matrix with independent local microenvironment.

We will discuss various possible additions/extensions. Numerical solutions for the systems are developed based on a discontinuous Galerkin finite element framework using mesh adaptivity with high order quadratures to accurately resolve fine-scale effects.


Roberta Schoor, Rutgers University Newark - The Complexities Involved in Observing and Understanding Student Engagement

Greater learning is likely to occur when students are meaningfully engaged. However, understanding when and how to view student engagement is not as easy as it may seem. For example, engagement is often characterized along a continuum ranging from disengaged to highly engaged. Such characterizations may be misleading, and in some cases, counterproductive. They do not take into account some of the many different types of engagement that can occur within the context of a lesson. Studies of the affective and cognitive interactions of students in mathematics classrooms have led us to develop the concept of “engagement structures” (Goldin, Epstein, Schorr, Warner, 2011). An engagement structure is a kind of behavioral/affective/social constellation, situated in the person, that becomes active in social contexts. It involves a motivating desire or goal, actions including social behaviors toward fulfilling the desire, supporting beliefs, sequences of emotional states, strategies, and possible outcomes. Importantly, such structures do not feature exclusively ‘‘positive’’ or “negative” emotional feelings, attitudes, beliefs, and/or values. For example, under some conditions, ‘‘negative’’ emotions (like frustration or fear) can contribute to constructive mathematical engagement, and conversely, "positive" feelings (like satisfaction or joy) can detract from such engagement. This talk will focus on how, using the concept of engagement structures, we can begin to understand engagement from an entirely different perspective.

Dr. Roberta Schorr is an Associate Professor in the Department of Urban Education, and a member of the Ph.D. faculty of the Graduate School. Her research focus is on understanding the cognitive and affective components involved in the development of mathematical ideas in students. This research has been funded through several grants totaling over 18 million dollars (funded primarily by the National Science Foundation) where she has served as Principal Investigator or Co-Principal Investigator. She has (co)authored over 80 articles, chapters, and papers, including several commissioned reports, as well a book entitled The Ambiguity of Teaching to the Test.


Ilan Adler, IEOR, UC Berkeley - Optimization, the PPAD complexity class, and bimatrix games

It is well known that many important optimization problems, ranging from linear programming to hard combinatorial problems, can be formulated as linear complementarity problems (LCP). In addition, many engineering and economics problems (such as market equilibrium) can be formulated directly as LCPs.

One particular problem: finding a Nash equilibrium of a bimatrix game (2-NASH) motivated in the mid 1960’s the development of the elegant Lemke algorithm to solve LCPs. While the algorithm always terminates, there is no guarantee that it will process any given problem (that is, find either a solution or a certificate that no solution exists). However, over the years many classes of LCP problems (including 2- NASH) have been shown to be solvable by the algorithm.

Subsequently, early in the 1990’s, Papadimitriou introduced a rich complexity class - PPAD (Polynomial- time Parity Argument on Directed graphs) - composed of problems whose solution is known to exist via a proof based on a certain directed graph which is a generalization of a graph induced by the algorithm. The (relatively) recent discovery that finding a solution to 2-NASH is PPAD-Complete established the very surprising result that every problem in the class of LCPs that are guaranteed to be solved by the Lemke algorithm can be reduced in polynomial time to 2-NASH.

While of great theoretical value, the ingeniously constructed reduction (which is designed for all PPAD problem) is very complicated and difficult to implement. Furthermore, a general benefit of reducing a problem to a matrix game is that the resulting game often provides some insight into the original problem; however, the original reduction makes the resulting games too cumbersome to analyze.

In this talk, I will present a very simple alternative isomorphic reduction from any such LCP to 2-NASH that overcomes these drawbacks, and discuss its implications.

Ilan Adler is a professor in the department of Industrial Engineering and Operations Research at the University of California at Berkeley. Professor Adler holds a B.A in Economics and Statistics from the Hebrew University in Israel, a M.Sc. in Operations Research from the Technion in Israel, and a Ph.D. in Operations Research from Stanford. His research interests are in optimization theory, financial engineering and combinatorial probability models.


Urban Larsson, Dalhousie University - Absolute Combinatorial Game Theory

This talk concerns a modern approach to disjunctive sum theory in Combinatorial Games. We show that the central idea for the order of short games is maintenance. The classical idea of winning strategy in G-H, via correspondence between outcome classes and order, is too naive (and not correct!). Conway's normal play games are well behaved because of a group structure; in general, the structure is only a partially ordered monoid, and this leads to more difficult problems. We discuss a generalization of normal play, misère play, and scoring play; extending work of Siegel, Ettinger, Renault, and Milley. This is joint work with Nowakowski and Santos.

Urban Larsson received his Ph.D. from Chalmers University of Technology (Sweden) in 2013. He is currently a Killam Postdoctoral Fellow at Dalhousie University in Halifax, Nova Scotia. Prior to pursuing his Ph.D. in mathematics, Dr. Larsson had worked as a journalist, a photographer, a filmmaker, a media teacher, and an electrician.

Spring 2015

John B. Conway, George Washington University - Matrices and Topology

In this talk we consider the set of n by n matrices and ask various topological questions about certain of its subsets. The idea is that to answer such questions we need to use various results from linear algebra. We are thus exposed to a connection between two different areas of mathematics. This talk is accessible to anyone who knows linear algebra and basic convergence results for real numbers and n-dimensional Euclidean space.

John B. Conway was born and raised in New Orleans and went to school there through college, graduating from Loyola University of New Orleans with a degree in Mathematics. Him and his two brothers were the first in his family to graduate from college. He received an NSF Graduate Fellowship, went to Indiana University for one year, then a year at NYU, and two years later he received his PhD from Louisiana State University. (His older brother also earned a PhD in mathematics from Indiana University and was on the faculty of Tulane University before his premature death.) John Conway's first job was at Indiana University where he rose through the ranks before going to the University of Tennessee in 1990 to be the Head of the department. In 2003 Conway accepted a three-year appointment at the National Science Foundation (NSF). After that he became department chair, here at GW, until his retirement in 2011. Almost all of his research lies between analytic function theory and the theory of operators on a Hilbert space. He is attracted by the interaction between these two areas. He has had 19 PhD students and written 10 books as well as many research papers. On the personal side he is married to his high school sweetheart; they met when he was 15 and she was 13. They own a small house in France and since retirement they spend three months a year there. John Conway and his wife have one son who is a professor of history at the Anglo-American School in St Petersburg, Russia. He and his Russian wife have their grandson, Stephen Johnevich.


David Joyner, United States Naval Academy - The Man Who Found God's Number

This is a tale of two problems. For years, Tom Rokicki worked to determine the exact value of God's number for the Rubik's Cube (the smallest number of moves needed to solve the cube in the worst case), a very difficult problem. By the time he solved this, Tom was completely deaf. Digitizing human hearing, and then implementing that into a medical device, is also a very difficult problem. Thanks to recent medical advances, Tom's hearing was restored about the same time that he discovered God's number.

David Joyner received his Ph.D. in mathematics from the University of Maryland, College Park. He held visiting positions at the University of California San Diego, Princeton, and the Institute for Advanced Study before joining the United States Naval Academy in 1987, where he is now a professor. He received the USNA’s Faculty Researcher of the Year award in 2007. His hobbies include writing, chess, photography, and the history of cryptography.


Andreas C. Aristotelous, Temple University- Discontinuous Galerkin Finite Elements for Cahn-Hilliard Type Models

A mixed discontinuous Galerkin (DG) finite element method is devised and analyzed for a modified Cahn-Hilliard equation that models phase separation in diblock copolymer melts. The time discretization is based on a convex splitting of the energy of the equation. We prove that our scheme is unconditionally energy stable with respect to a spatially discrete analogue of the continuous free energy of the system, unconditionally uniquely solvable, and convergent in the natural energy norm with optimal rates.

Fully-discrete, discontinuous Galerkin schemes with time dynamic, locally refined meshes in space are developed for a fourth order Cahn-Hilliard equation with an added nonlinear reaction term, a phenomenological model that can describe cancerous tumor growth. The proposed schemes, which are both second-order in time, are based on a primitive variable DG spatial formulation. The schemes are proved to be convergent, with optimal order error bounds, even in the case where the mesh is changing with time.

We also present an efficient nonlinear multigrid solver for advancing our semi-implicit schemes in time.

Numerical tests are presented showing the convergence of the above schemes at the predicted rates and the flexibility of the methods for approximating complex solution dynamics efficiently.


Chuan Li, University of Alabama - Developing Efficient Numerical and Parallel Computing Methods for Solving Parabolic Interface Problems and their Applications in Computational Biophysics

Many computational biophysics applications, such as calculating the electrostatics of molecules/proteins immersed in water phase, simulating heat dissipation in Magnetic Fluid Hyperthermia (MFH) treatment for human cancers, and imitating potential propagation in excitable cardiac tissue, can all be mathematically modeled as the parabolic interface problems. The standard numerical methods for solving partial differential equations (PDEs) often perform poorly for the parabolic interface problems due to the fact that the physical solutions are usually non-smooth or even discontinuous across the arbitrarily-shaped interface of two media. In this talk, I will present my current work towards developing a matched interface and boundary (MIB) method for restoring the accuracy near the interface. The proposed MIB method, when coupled with fully implicit time stepping schemes, such as the operator splitting alternating direction implicit (ADI) and the locally one-dimensional (LOD) schemes, delivers efficient and stable numerical methods for solving parabolic interface problems. Research directions, such as continuous development of the MIB method, implementing the ADI-MIB and LOD-MIB methods for solving the nonlinear Poisson-Boltzmann equation (PBE) in the popular program DelPhi, and performing high performance computing via newly developed parallel algorithms for solving three-dimensional interface problems , will be addressed as well.


Christopher William Wahle - Inferring Gibbs Free Energies of Liquid Mixtures from Noisy Light Scattering Data Using a Nonlinear Partial Differential Equation

Abstract: Experimental determination of mixture free energies is useful in many scientific fields, including biology, material science, and medicine. Free energies can be determined experimentally using a multi-dimensional nonlinear partial differential equation (PDE). The PDE relates the Gibbs free energies of complex liquid mixtures to the degree to which the mixtures scatter light. For a given mixture, light scattering data can be collected experimentally and fed into the PDE, from which the Gibbs free energy can be computed. Errors in light scattering measurements induce errors in computed free energies. Assuming small measurement errors, the PDE is linearized to yield a parabolic PDE which determines the resulting error in free energy. The linearized PDE is used to quantify the errors in free energies inferred from noisy light scattering data. The analysis provides guidelines for efficiently collecting the data needed to compute Gibbs free energies to a desired accuracy. The interesting mathematical aspects of the PDE will be extracted from the complicated physical context from which it arises.

Christopher William Wahle was Assistant Professor at The Rochester Institute of Technology for eight years. He obtained his PhD at Northwestern University, in 2003; his thesis title was “Gas-Solid Nonequilibrium in Filtration Combustion” and his thesis adviser was Bernard J. Matkowsky, Northwestern University.

His current research interests include 1. inferring mixture free energies from light scattering data using a nonlinear PDE 2. statistical thermodynamic modeling of the effects of charge regulation on inter-protein forces 3. combustion and detonation theory.


C Kristopher Garrett - ; A Large Scale Numerical Experiment

In this talk, I will give details on a numerical experiment conducted on one of the largest supercomputers in the world. The experiment involves the comparison of two moment methods for solving a radiation transport equation. One moment method is very fast to compute, but it can exhibit nonphysical behavior such as negative particle densities. The other method is much more expensive to compute, but it ensures positive particle densities which in a coupled code may be essential. The interesting part is when both methods are run at the largest computational scales, the difference in time to solution between the methods diminishes.

But this is only part of the talk. The other part will involve a journey through several mathematical subjects required to solve the radiation transport problem. I will touch on computational PDE theory, optimization problems, properties of spherical harmonics, and more.


Sommer Gentry, United States Naval Academy - Optimization, Ethics, and Organs: Mathematical Methods for Rationing Transplantation

The notion of rationing healthcare is taboo: people naturally feel no one should limit the resources spent extending human life, particularly theirs or their loved ones’. Transplantation can transform the lives of organ recipients, but must be rationed by access to the far-too-small supply of donated organs, so it is a microcosm of ethical dilemmas in rationing healthcare. Operations research techniques can maximize the number of life years gained from transplantation, or redistrict geographic allocation units to distribute organs more fairly across large countries like the United States. Paired kidney exchange, in which a living kidney donor who is incompatible with his intended recipient exchanges organs with another incompatible pair, uses graph algorithms for maximum weight matching to select the best combination of exchanges. Beyond the sophistication of methods, the real challenge is to help decision-makers scrutinize how "fair" and "optimal" can be defined. I will share my experiences as a mathematician in the transplant community.

Sommer Gentry is Associate Professor of Mathematics at the United States Naval Academy, and is also on the faculty of the Johns Hopkins University School of Medicine. She is a senior investigator with the Scientific Registry for Transplant Recipients in the U.S. She has a B.S. in Mathematical and Computational Science and an M.S. in Operations Research, both from Stanford University, and a Ph.D. in Electrical Engineering and Computer Science from MIT. She was a Department of Energy Computational Science Graduate Fellow, and won an award for excellence in communicating computational science to a lay audience. She designed matching optimization methods used for nationwide kidney paired donation registries in both the United States and Canada, and is now creating optimized sharing boundaries to help the Organ Procurement and Transplantation Network reduce geographic disparity in liver allocation. Her work has attracted the attention of major media outlets including Time Magazine, Reader’s Digest, Science, the Discovery Channel, and National Public Radio. Gentry has received the MAA’s Henry L. Alder award for distinguished teaching by a beginning mathematics faculty member.


Alex Chen, University of North Carolina - Competing time scales in HIV invasion

Human immunodeficiency virus (HIV) has caused great damage to society in recent decades. One of the reasons for its virulence is the near impossibility of its eradication after an initial infection. Thus, understanding and preventing initial infection is of vital importance. In this talk, we model HIV transmission with partial and stochastic differential equations. We will discuss how an incomplete understanding of the different time scales involved has led to an underestimation of the protective properties of the cervicovaginal mucus (CVM) layer—a diffusional and immunological barrier against HIV—and the implications that this has for vaccine design. In particular, our model suggests that antibodies with high kon (rapid forward reaction rates with virus), rather than low backward reaction rates koff, should provide more effective HIV neutralization. We further demonstrate that mucin proteins within the CVM layer may provide a mechanism to form a “molecular shield” against viral entry. Our models to understand kinetics of neutralization should be broadly applicable to Ab-mediated neutralization of other viral transmissions at mucosal surfaces.

Alex Chen is a Postdoctoral Research Associate at the University of North Carolina, Chapel Hill. He obtained his PhD at the University of California, Los Angeles, in 2011; his thesis title was “Boundary Tracking in Large Data Sets and Modeling the Evolution of Landscapes” and his thesis adviser was Andrea Bertozzi, University of California Los Angeles.

His current research interests include the following three projects: the modeling and numerical simulation of cell motility, stochastic and deterministic models for mucosal immunity and modeling, the evolution of landscapes through a set of partial differential equations. He also has experience in image processing with application to large data sets.

Fall 2014

Bruce Berndt, University of Illinois at Urbana-Champaign - The Circle and Divisor Problems, Bessel Function Series, and Ramanujan's Lost Notebook

A page in Ramanujan's lost notebook contains two identities for trigonometric sums in terms of doubly infinite series of Bessel functions. One is related to the famous “circle problem” and the other to the equally famous “divisor problem”. We first discuss these classical unsolved problems. Each identity can be interpreted in three distinct ways. We discuss various methods that have been devised to prove the identities under these different interpretations. Weighted divisor sums naturally arise, and new methods for estimating trigonometric sums need to be developed. Trigonometric analogues and extensions of Ramanujan's identities are discussed. The research to be described is joint work with Sun Kim and Alexandru Zaharescu. (The lecture will be entirely expository, except for two short proofs due to Gauss and Dirichlet.)

Bruce Berndt attended college at Albion College, graduating in 1961, where he also ran track. He received his master's and doctoral degrees from the University of Wisconsin–Madison. He lectured for a year at the University of Glasgow and then, in 1967, was appointed an assistant professor at the University of Illinois at Urbana-Champaign, where he has remained since. In 1973–74 he was a visiting scholar at the Institute for Advanced Study in Princeton. He is currently (as of 2006) Michio Suzuki Distinguished Research Professor of Mathematics at the University of Illinois. Berndt is an analytic number theorist who is probably best known for his work explicating the discoveries of Srinivasa Ramanujan. He is a coordinating editor of The Ramanujan Journal and, in 1996, received an expository Steele Prize from the American Mathematical Society for his work editing Ramanujan's Notebooks. In 2012 he became a fellow of the American Mathematical Society. In December 2012 he received an honorary doctorate from SASTRA University in Kumbakonam, India.


Urban Larsson, Dalhousie University - Combinatorial Games and Computability

We study subtraction games on heaps of matches with simple rules, such as: 2 players alternate in removing one or two matches from one heap of say 21 matches until the heap is empty, and the player who cannot move loses. When played on only one heap, these types of games are known to have periodic outcome functions, which means that a computer can solve them. But if we play similar games on several heaps, they become Turing complete, that is, as hard as any mathematical problem. (Partly joint work with Johan Wästlund)

Urban Larsson received his Ph.D. from Chalmers University of Technology (Sweden) in 2013. He is currently a Killam Postdoctoral Fellow at Dalhousie University in Halifax, Nova Scotia. Prior to pursuing his Ph.D. in mathematics, Dr. Larsson had worked as a journalist, a photographer, a filmmaker, a media teacher, and an electrician.


Maciej Wojtkowski, University of Warmia and Mazury, Poland - Markov partitions and 1-dimensional tilings

Bi-partitions are partitions of the 2-dim torus by two parallelograms. They give rise to 2-periodic tilings of the plane, and further to 1-dim tilings which have a host of well known combinatorial properties, e.g. these are Sturmian sequences.
When a bi-partition is a Markov partition for a hyperbolic toral automorphism (= Berg partition), the tilings are substitution tilings. The substitutions preserving Sturmian sequences are known to have the ``3-palindrome property''.
The number of different substitutions was determined by Seebold '98, and the number of nonequivalent Berg partitions by Siemaszko and Wojtkowski '11.
The two formulas coincide. Using tilings we give a simpler proof for the last result. It shows that every combinatorial substitution preserving a Sturmian sequence is realized geometrically as a Berg partition.

Professor Maciej Wojtkowski works in the fields of dynamical systems and differential geometry. He published extensively in mathematics and mathematical physics, and MathNet lists more then 40 papers in his record. He currently holds a position at the University of Warmia and Mazury in Olsztyn, Poland. In the past he was a tenured professor at the University of Arizona, Tucson, AZ. He also visited UC Berkeley (2 years) and ETH in Zurich (1 year). He was invited to give a talk at ICM Beijing in 2002 in the section of Mathematical Physics. He graduated with a PhD from Moscow State University in 1978, under the direction of Professor Vladimir M. Alekseev.

Spring 2014

Aparna Higgins, University of Dayton - Demonic Graphs and Undergraduate Research

Working with undergraduates on mathematical research has been one of the most satisfying aspects of my professional life. This talk will highlight some of the beautiful and interesting research done by my former undergraduate students on line graphs and pebbling on graphs. We will consider line graphs, some pioneering results in pebbling graphs, and pebbling numbers of line graphs. This work has inspired other students to investigate questions in these areas, and it has contributed to my research as well.

Aparna Higgins received a B.Sc. in mathematics from the University of Bombay in 1978 and a Ph.D. in mathematics from the University of Notre Dame in 1983. Her dissertation was in universal algebra, and her current research interests are in graph theory. She has taught at the University of Dayton, Ohio, since 1984. Although Aparna enjoys teaching the usual collection of undergraduate courses, her most fulfilling experiences as a teacher have come from directing undergraduates in mathematical research. She has advised twelve undergraduate Honors theses, and she has co-directed an NSF-sponsored Research Experiences for Undergraduates program. Aparna is an advocate of academic year undergraduate research at one’s own institution. She has presented workshops (often with Joe Gallian) at mathematics meetings on directing undergraduate research. She enjoys giving talks on mathematics to audiences of various levels and backgrounds. Aparna has been the recipient of four teaching awards -- from the College of Arts and Sciences at the University of Dayton, the Alumni Award (a University-wide award) at the University of Dayton, from the Ohio Section of the Mathematical Association of America, and in 2005, the Deborah and Tepper Haimo Award for Distinguished College or University Teaching, which is the Mathematical Association of America's most prestigious award for teaching. Aparna has served the MAA in many capacities, including being a founding member of, and then chairing, the Committee on Student Chapters, which helped create and maintain Student Chapters, provided support to Sections for student activities and provided appropriate programming for undergraduates at national meetings. Aparna is Director of Project NExT (New Experiences in Teaching), a professional development program of the MAA for new or recent Ph.D.s in the mathematical sciences. Project NExT addresses all aspects of an academic career: improving the teaching and learning of mathematics, engaging in research and scholarship, and participating in professional activities. It also provides the participants with a network of peers and mentors as they assume these responsibilities. Aparna has served as President of the Ohio Section, and has served on several committees of the Ohio Section.


Professor Ken Ono, Emory University- Beautiful formulas of Euclid, Rogers and Ramanujan: Fragments of a theory

Abstract: The “golden ratio” is one of the most intriguing constants in mathematics. It has a beautiful description in terms of a continued fraction. In his first letter to G. H. Hardy, Ramanujan hinted at a theory of continued fractions, which greatly expands on this classical observation. He offered shocking evaluations which Hardy described as...

“These formulas defeated me completely...they could only be written down by a mathematician of the highest class. They must be true because no one would have the imagination to invent them”. - G. H. Hardy

Ramanujan had a secret device, two power series identities which were independently discovered previously by Rogers. The two Rogers-Ramanujan identities are now ubiquitous in mathematics.

It turns out that these identities and Ramanujan’s theory of evaluations are hints of a much larger theory. In joint work with Michael Griffin and Ole Warnaar, the author has discovered a rich framework of Rogers-Ramanujan identities, one which comes equipped with a beautiful theory of algebraic numbers. The story blends the theory of Hall-Littlewood polynomials, modular forms, and the representation theory of Kac-Moody affine Lie algebras.

Ken Ono received his BA from the University of Chicago in 1989, and his PhD in 1993 at UCLA where his advisor was Basil Gordon.

Ono's contributions include several monographs and over 140 research and popular articles in number theory, combinatorics, and algebra. He is considered to be an expert in the theory of integer partitions and modular forms. In 2000 he 'greatly' expanded Ramanujan's theory of partition congruences, and in work with Kathrin Bringmann he has made important contributions to the theory of Maass forms, functions which include Ramanujan's mock theta functions as examples. In 2007 Don Zagier gave a Seminar Bourbaki address on the work of Bringmann, Ono, and Zwegers on the mock theta functions. The 2009 SASTRA Ramanujan Prize, awarded to a young mathematician under the age of 32, has been awarded to Kathrin Bringmann for this joint work with Ono. In 2012 Ono made world news for his work proving the last open conjectures contained in Ramanujan's enigmatic death-bed letter to G. H. Hardy.

Ono has received many awards for his research. In April 2000 he received the Presidential Career Award (PECASE) from Bill Clinton in a ceremony at the White House, and in June 2005 he received the National Science Foundation Director's Distinguished Teaching Scholar Award at the National Academy of Science. He has also won a Sloan Fellowship, a Packard Fellowship, and a Guggenheim Fellowship. In 2012 he became a fellow of the American Mathematical Society.


Richard Nowakowski, Dalhousie University - Sum Strategic Solutions

"Last player to move, wins!" games form a nice mathematical structure that allows humans to find good strategies from general principles in complicated situations. We'll look at NIM (and variants as found on Sesame Street) Snort and Maze and discover the best, good, and very, very good (respectively) strategies that should allow a player to win reasonably often.


Richard Nowakowski received his Ph.D. in 1978 from the University of Calgary under the direction of Richard Guy. During his time in Calgary he met John H. Conway and Elwyn Berlekamp whilst they were developing the theory of combinatorial games. After his Ph.D. he obtained a one-year position at Dalhousie University in Halifax, Nova Scotia. Since 1992, he has been a professor of mathematics at Dalhousie University. Dr. Nowakowski has written over 100 research articles on games, pursuit games on graphs, and graphs. Additionally, he has coauthored two books: "Lessons in Play" and "Cops and Robbers". He cites his most valuable lesson learned as “be careful what you call things”.


 

Hal Switkay, West Chester University - Minimal Solutions to Euler's Six-Squares Problems

We provide an algorithm to generate minimal solutions to Euler’s six-squares problem. The method makes use of the theta series of the square lattice, the two-dimensional integer lattice. We also consider applications to generalizations of Euler’s problem.

This talk should be easily accessible to undergraduates.

Hal M. Switkay grew up in Philadelphia, PA. He earned his B.A. and M.A. in mathematics at the University of Pennsylvania with a minor in philosophy, and his Ph.D. in mathematics at Lehigh University in the study of set theory. After graduation, his interests shifted towards exceptional mathematics, symmetry, lattices, groups, higher-dimensional geometry, voting, statistics, and the sensible communication of abstract information. He has taught mathematics, from remedial to advanced, has done public speaking, is a musician and composer, and has earned certification as a teacher of Tai Chi Easy and as a practitioner of reiki and Thai massage. He has earned a certificate from West Chester University’s graduate program in applied statistics, and is currently enrolled in West Chester University’s graduate certificate program in business. His business card lists the following interests: mathematics; music; philosophy; health and wellness.

Fall 2013

William Dunham, Muhlenberg College - An Afternoon with Euler

Among the greatest of mathematicians is Leonhard Euler (1707-1783), whose insight, industry, and ingenuity are unsurpassed in the long history of mathematics. In this talk, we sketch Euler's life, describe the quantity and quality of his mathematical output, and discuss a few of his more spectacular discoveries.
We then look, in detail, at a specific problem: Euler was challenged to find four different whole numbers, the sum of any pair of which is a perfect square. The numbers he found – namely 18530, 38114, 45986, and 65570 – reveal a remarkable genius in action. We'll follow along to see how he did it and thereby get a sense of why Euler is rightly known as "the Master of Us All."

NOTE: This talk should be of interest to mathematics majors and minors.

William Dunham, who received his B.S. (1969) from the University of Pittsburgh and his M.S. (1970) and Ph.D.(1974) from Ohio State, is the Truman Koehler Professor of Mathematics at Muhlenberg College.

Over the years, Dunham has directed NEH seminars on math history at Ohio State and has spoken on historical topics at the Smithsonian Institution, on NPR's "Talk of the Nation: Science Friday," and at the Swiss Embassy in Washington, DC. In 2008 and again in 2013, he was a Visiting Professor at Harvard University, where he taught a class on the mathematics of Leonhard Euler.

In the 1990s, Dunham wrote three books – Journey Through Genius: The Great Theorems of Mathematics (Wiley, 1990), The Mathematical Universe (Wiley, 1994), and Euler: The Master of Us All (MAA, 1999) – and in the present century he has done two more – The Calculus Gallery: Masterpieces from Newton to Lebesgue (Princeton, 2005) and The Genius of Euler: Reflections on His Life and Work (MAA, 2007). In 2010 he recorded a 24-lecture DVD series for "The Great Courses" on the history of mathematics.

Dunham's expository writing has been recognized by the MAA with the George Pólya Award in 1993, the Trevor Evans Award in 1997 and 2008, the Lester R. Ford Award in 2006, and the Beckenbach Prize in 2008. The Association of American Publishers designated The Mathematical Universe as the Best Mathematics Book of 1994.


 

Fred S. Roberts, Rutgers University - Defending against H1N1 Virus, Smallpox, and other Naturally Occurring or Deliberately Introduced Diseases: How Can Graph Theory Help?

 

Our society faces threats from newly emerging diseases such as the H1N1 virus and from diseases such as
smallpox or anthrax that might be introduced by bioterrorists. How can mathematics help us identify the best strategies to prevent the spread of disease and respond to outbreaks? Mathematical modeling of infectious disease goes back to Bernoulli's work on smallpox in 1760 and is widely used today by government agencies such as the Centers for Disease Control and Prevention (CDC) and the Department of Homeland Security. We will explore how simple models based on vertex-edge graphs can be used to explore strategies like vaccination and quarantine.


Fred S. Roberts is a Distinguished Professor of Mathematics at Rutgers University and a member of the graduate faculties in Computer Science, Mathematics, Operations Research, Computational Molecular Biology, BioMAPS (Interdisciplinary Ph.D. Program at the Interface between the Biological, Mathematical, and Physical Sciences), Industrial and Systems Engineering, and Education. He serves as Director of the Command, Control, and Interoperability Center for Advanced Data Analysis (CCICADA), founded in 2009 as a University Center of Excellence (COE) through the US Department of Homeland Security (DHS). Based at Rutgers, CCICADA has 17 partner organizations nationwide and works on such topics as floods and natural disasters, government resource allocation, fisheries regulations law enforcement, container inspection, and large sports venue security. Roberts also served as Director of the Center for Dynamic Data Analysis, the predecessor DHS COE to CCICADA, from 2006 to 2009. For 16 years until 2011, he was Director of DIMACS, the Center for Discrete Mathematics and Theoretical Computer Science, one of the original US National Science Foundation (NSF) Science and Technology Centers, with 15 partner organizations and over 325 affiliated scientists. He is now DIMACS Emeritus Director and Senior Advisor. Roberts is a member of the Board on Mathematical Sciences and Applications, a former member of NSF advisory committees on International Research and Education, Mathematical and Physical Sciences, and Environmental Research and Education, is on the Steering Committee for the World-Wide Program Mathematics of Planet Earth, on the Scientific Advisory Committee to the Institute for Applied Systems Analysis (IIASA), co-chairs the NJ Universities Homeland Security Research Consortium, has served on the Secretary's epidemiology modeling group at the Department of Health and Human Services, and serves on the NJ Governor's Health Emergency Preparedness Advisory Council and the NJ Domestic Security Preparedness Task Force Planning Group.

Roberts is the author of four books, editor of 21 additional books, and author of some 175 scientific articles. His work has been translated into Russian and Chinese and deals with a wide variety of topics, including mathematical models addressing problems of energy modeling, decision making, communication networks, mathematical psychology, measurement, epidemiology, computational biology, sustainability, homeland security, and precollege education. Among his honors and awards, Professor Roberts has been the recipient of a University Research Initiative Award from the Air Force Office of Scientific Research, the Commemorative Medal of the Union of Czech Mathematicians and Physicists, and the Distinguished Service Award of the Association of Computing Machinery Special Interest Group on Algorithms and Computation Theory, and he is a Fellow of the American Mathematical Society. He also received the NSF Science and Technology Centers Pioneer Award in a ceremony at NSF and received an honorary doctorate from the University of Paris-Dauphine.

Spring 2013

Dr. Matthe Beauregard, Job Candidate - Adaptive Splitting Methods in Application to a Quenching-Combustion Model

The development of numerical methods continues to have a tremendous impact on scientific research, in particular, to the study of partial differential equations. Compact methods serve as a fruitful way of increasing the accuracy of a numerical method without increasing the computational cost. As a result, a tremendous amount of focus in the literature has been placed on the study of compact methods and their applications. Still, their application is often done blindly, without proper numerical analysis of the numerical method. Here, the numerical solution of a nonlinear, degenerate reaction-diffusion equation of the quenching type is investigated. An adaptive compact scheme is employed to obtain solutions for the discretized system. The temporal step is determined adaptively through a suitable arc-length monitor function. It is shown that the numerical solution acquired preserves the positivity and monotonicity of the analytical solution. Strong stability is proven in a Von-Neumann sense via the ℓ2-norm. In light of these achievements, subtle restrictions are imposed as a result of implementing the compact scheme, providing a cautionary tale that employing numerical methods without proper analysis is a recipe for divergence, inaccuracy, and inconsistent results.


Students are strongly encouraged to attend as the talk siphons directly from knowledge of calculus, linear algebra, and systems of differential equations.

Matthew Beauregard is a Postdoctoral Associate Professor at Baylor University, Department of Mathematics, Waco, Texas. He obtained his Applied Mathematics, Aerospace and Mechanical Engineering Minor, at the University of Arizona, Tucson, AZ in 2008; his thesis title was "Nonlinear Dynamics of Elastic Filaments Conveying a Fluid and Numerical Applications to the Static Kirchhoff Equations" and his thesis advisors were Dr. Michael Tabor, University of Arizona, and Dr. Alain Goriely, Oxford University. His research develops and analyzes fully adaptive algorithms that attempt to approximate quenching-combustion models, especially near the onset of blow-up, quenching, or the formation of a singularity. The algorithms stem from expertise in the method of lines, operator splitting, Pade approximations, matrix and difference equation theory, and partial differential equation theory.


Mark McKibben (Job Candidate) - Holey Rocks, Indecisive Fluids, Vanishing Beaches & Fiery Neurons: The Unifying Nature of Implicit Stochastic Evolution Equations

Hidden connections often lurk beneath the surface that, once discovered, enable mathematical models of seemingly disparate phenomena to be studied within a single, unified abstract framework. When the models consist of partial differential equations, the form of this structure is an abstract evolution equation.In this talk, we shall begin by illustrating, in a sequence of steps, how an abstract evolution equation can be derived to unify the study of the models alluded to in the title. Then, we will incorporate environmental noise into the models and develop an even more encompassing stochastic theory governing the evolution of these processes. The talk will end with brief commentary on current and future directions of research in this area, including how one accounts for sharp blows to the system, time delays, and “not-so-nice” noise (e.g., fractional Brownian motion).

Mark McKibben is a professor of mathematics in the department of Mathematics and Computer Science at Goucher College in Baltimore, Maryland. He obtained his PhD at Ohio University, in 1999; his thesis title was “Existence Theorems for Nonlinear Functional Differential Equations” and his thesis advisor was Sergiu Aizicovici, Ohio University. His research interests, broadly speaking, is the field of applied functional analysis used to study theoretical issues (e.g., existence/uniqueness, controllability, convergence schemes of various kinds, stability) of abstract deterministic and stochastic evolution equations.


Dr. Matthew Nick J. Moore, Job Candidate - Semi-analytical models for fluids interacting with structures

Reduced models can lend unique insight into physical phenomena by stripping away all but the most essential principles. I will discuss the use of such models in the context of two fluid-structure problems. First, I will discuss motion in viscoelastic fluids. These fluids store and release elastic energy, leading to motion that is characteristically unsteady. A canonical example is the gravitational settling of body, in which terminal velocity is exceeded on a transient timescale. We have recently developed a "weak-coupling" method that gives semi-analytical solutions to this classical problem and other more complicated problems.
I will discuss a biologically-inspired extension in which the body is propelled by an oscillating force, intended to mimic a swimming stroke. Secondly, I will discuss the erosion of bodies by fluid flow. Inspired by natural examples such as the formation of landforms, our study focuses on the mutual interaction between changing shape and flow. Table-top experiments of soft-clay in flowing water reveal the formation of sharp corners and facets, contrary to the common notion that erosion tends to smooth bodies. We appeal to a semi-analytical flow-model that combines an outer flow with a boundary layer flow in order to rationalize these observations and make new predictions.

Matthew "Nick" Moore is an Associate Research Scientist at the Courant Institute of Mathematical Sciences, New York University, New York. He obtained his PhD at University of North Carolina, in 2010; his thesis title was "Stratified flows with vertical layering of density" and his thesis advisors were Richard M. McLaughlin and Roberto Camassa, University of North Carolina. His research interests include Applied and computational mathematics, fluid mechanics especially fluid-structure interactions, complex fluids, evolution equations, nonlinearity, multi-scale problems, stability analysis.


Dr. Ivan Matic (Job Candidate) - Decay and Growth of Randomness

Formation of crystals, spread of infections, and flow of fluids through porous rocks are modeled mathematically as systems consisting of many particles that behave randomly. We will use fluctuations to quantify the randomness, and measure its decay as the number of particles increase.

Then we will study the opposite problem: growth of randomness. It turns out that situations exist where it is beneficial to increase chaos. As one example, we will study methods to anonymously distribute

Ivan Matic is Assistant Research Professor at Duke University, Durham, North Carolina. He obtained his PhD at the University of California, Berkeley, in 2010; his thesis title was "Homogenizations and large deviations" and his thesis advisor was Fraydoun Rezakhanlou. His interests include probability, statistical mechanics, partial differential equations, combinatorics, and dynamical systems. His research focuses are large time behaviors of variational processes related to stochastic Hamilton-Jacobi and Hamilton-Jacobi-Bellman equations (HJ and HJB), random walks in random environments (RWRE), the stochastic Frenkel-Kontorova models (FK), Gibbs measures (GM), and first and last passage percolations (FPP, LPP).


Dr. Tadele Mengesha (Job Candidate) - Mathematical analysis of the Linearized Peridynamic Model

The talk presents a recent work on the mathematical analysis of certain nonlocal models. Our primary example is the peridynamic model of continuum mechanics: a derivative-free, integral-type continuum model that is found to be suitable for modeling materials that naturally form discontinuities such as cracks when deformed. The focus is on the linearized bond-based PD model for isotropic elastic materials. Our analysis is based on some nonlocal Poincare-type inequalities and compactness of the associated nonlocal operators. We also present the basic structural properties of the associated solution space such as compact embedding, separability, completeness and density along with regularity properties of solutions for different types of kernels. Using standard variational techniques we prove the well posedness of the system of equilibrium equations, given as "nonlocal" boundary value problems. Solutions to the nonlocal system are shown to converge to the Navier system of classical elasticity in the event of vanishing nonlocality. Some aspects of the time dependent equations of motion will also be discussed. (This is a joint work with Qiang Du.)

Tadele Mengesha is a Research Associate at Pennsylvania State University. He obtained his PhD at Temple University in 2007; his thesis title was "Sufficient conditions for local minimizers in calculus of variations" and his thesis advisor was Dr. Yury Grabovsky, Temple University. His current research interests include Analysis of partial differential and integral equations, Calculus of Variations. Existence and uniqueness of nonlocal problems and application to peridynamics, regularity of solutions to PDEs with discontinuous coefficients, homogenization of differential and integral operators with oscillatory coefficients, stability of solutions to variational problems.


Dr. Meredith Hegg (Job Candidate) - Automatic Detection and Animation of Weather Fronts

Accustomed as we all are to seeing weather maps depicting warm and cold fronts as well as other meteorological phenomena, it may surprise most people to learn that many of these features do not have universally accepted mathematical definitions. Several different models have been proposed to define warm and cold fronts, but nearly all involve differential operators of order two or higher. When applied to numerical simulation data, approximations of these operators can lead to problems related to noise amplification. As a result, the majority of weather front maps are currently generated manually using heuristic methods. Here we present a new model based on level curves of the norm of the temperature gradient. This model allows us to automatically detect and animate warm and cold fronts and also includes a method for tracing occluded fronts involving the eigenvectors of the Hessian matrix of the temperature function. We'll discuss the basis for this model and compare our results to hand-drawn maps produced by meteorologists.

Meredith Hegg is a Preceptor in Mathematics at Harvard University. She obtained her PhD in Applied Mathematics at Temple University in 2012; her thesis title was "Exact Relations for Elasticity Tensors of Fiber-Reinforced Composites" and her thesis advisor was Dr. Yury Grabovsky, Temple University. Her thesis research was on exact relations in composite materials. Exact relations describe material properties that are maintained during the construction of composites. The theory of exact relations utilizes a non-linear transformation that sends exact relations to subspaces with algebraic properties. Ideas from representation theory are then used to find all exact relations. Her work focuses on elasticity in fiber-reinforced composites. She also has an additional project modeling weather fronts using numerical simulation data.


Lily KhadJavi, Loyola Marymount University - Social Justice and Mathematics: Analyzing Police Practice in Los Angeles

Although racial profiling is not legal, national polls indicate that most Americans believe it is a regular police practice. Beginning in 2002, under the terms of a Consent Decree with the United States Department of Justice, the Los Angeles Police Department collected and publicized general tallies of all traffic stops, the outcomes of those stops, and the race/ethnicity of drivers. Surprisingly, there have been few studies based on this data set.

Originally motivated by the desire to use real-world data and examine social justice issues in introductory statistics courses, this project has resulted in interdisciplinary research in collaboration with a law professor. Through the ACLU, we were able to gain access to disaggregated data from the City of Los Angeles. As in many other parts of the country, we find significant racial and ethnic disparities, for example in search rates. Perhaps most notably, there are significant disparities in the police's use of searches based solely on driver consent, which are less likely to yield discoveries. Since drivers almost universally agree to such searches, we are led to question whether or not legal consent can be understood as an expression of free will. This talk tells the story of this project, including an overview of the data, the social and legal issues raised, and the statistical techniques used, and will be accessible to students and scholars from across disciplines.

Lily Khadjavi received her bachelor's degree from Harvard University and her PhD in Mathematics from the University of California, Berkeley. She is an Associate Professor of Mathematics at Loyola Marymount University in Los Angeles, and this academic year is a Visiting Scholar at the Research and Evaluation Center at John Jay College of Criminal Justice in New York. Her research interests range from algebraic number.


Dr. Kathleen "Katie" Acker (Job Candidate) - Mathhappy: My Research and Me

Mathematics Education as a specialty has allowed me the luxury of choosing a wide variety of topics to research. My published research and my conference presentations reflect this diversity, focusing on themes of education equity, alternative education, history of mathematics and teaching with technology.

While I will review my earlier work, I primarily intend to discuss my experiences using
technology. I also want to think aloud about how to answer the question:

How can emerging technologies be effectively used to enhance all aspects of learning in the mathematics classroom?

Clearly there are previous studies that report upon curricular changes and efficacy of instruction made possible with the inclusion of graphing calculators, spreadsheet programs, and online sources into the mathematics classroom. In my opinion, there are three questions and their implications open to both development and research. They are:

How does the adoption of tablet computers by schools and smart phones by students change instruction delivery and assessment?

What does an ideal e-text for mathematics resemble?

How best could a mathematics classroom be effectively "flipped‟?


Dr. Rachael Brown (Job Candidate) - Community Development in Mathematics Professional Development

This session will share a study considering how a group of middle grades mathematics teachers developed into a community during a 14-week PD experience. The concept of creating a community of practice is a relatively recent idea in education. There is little written, however, about the possibility of a community of practice developing in a short period of time – though the time frame of this PD is consistent with many PD experiences in the United States. In this study, the design of the PD included focus on mathematics content knowledge and active engagement in high cognitive demand tasks with rational number concepts. Both are common recommendations for effective PD. This study found that a community of practice could be developed in this setting. Although no data were collected on the path of the community after the PD, this study provides an example of success of community of practice development within a PD setting with a facilitator intent on not only improving teachers' understanding of rational numbers but attempting to cultivate a community.


Peter Schumer, Middlebury College - Patterns in Pascal's Triangle

In 1653, Blaise Pascal published his "Treatise on the Arithmetical Triangle" which included a description of his eponymous triangle together with some applications to algebra, combinatorics, and probability. Since that time, a great deal more of its structure has been discovered and analyzed. In this talk we will investigate some of the fascinating patterns contained within this arithmetic triangle.

Peter Schumer is the Baldwin Professor of Mathematics and Natural Philosophy at Middlebury College. He earned his B.S. and M.S. from Rensselaer Polytechnic Institute and earned his Ph.D. from University of Maryland, College Park. His areas of interest are elementary and analytic number theory, history of mathematics, and combinatorics. He has written two books, Introduction to Number Theory (PWS) and Mathematical Journeys (Wiley) and many articles in the areas listed above. He is the recipient of The Trevor Evans Award of the MAA for the article, "The Magician of Budapest" that appeared in Math Horizons. His other academic interest is playing and promoting the game of go (have played in 17 U.S. Opens and countless smaller tournaments). He has had sabbaticals at UCSD, Stanford, San Jose State U., Doshisha Univ. in Kyoto, and Keio Univ. in Tokyo. He has taught courses on mathematics and on the game of go in Kyoto, Japan and Shanghai, China.


Marc Chamberland, Grinnell College - The Computer's Role in Mathematical Discovery and Proof

The use of computer packages has brought us to a point where the computer can be used for many tasks: discover new mathematical patterns and relationships, create impressive graphics to expose mathematical structure, falsify conjectures, confirm analytically derived results, and perhaps most impressively for the purist, suggest approaches for formal proofs. This is the thrust of experimental mathematics. This talk will give some examples to discover or prove results concerning geometry, integrals, binomial sums, dynamics and infinite series.

Marc Chamberland obtained his PhD from the University of Waterloo in 1995. He joined Grinnell College in 1997 where he is now the Myra Steele Professor of Natural Sciences and Mathematics. He has published over 40 articles in the areas of differential equations, dynamical systems, and number theory and has spoken about his research in several countries. He is a strong advocate of using computers in mathematical research and has developed an NSF-supported, upper-level, undergraduate course in Experimental Mathematics. Outside of mathematics, he enjoys time with his family (with three children), biking, and meditation.


Irina Svyshch, WCU Master's Student - Thesis Talk

In this thesis we will discuss some basic similarities and differences between real and complex differentiation and line integration. We will show several isomorphic approaches to complex numbers, in particular, the relationship between matrix and complex multiplication. Then, we will discuss significant differences between real and complex differentiation. We will show a non-traditional proof of the theorem on Cauchy-Riemann equations using only the complex linearity of the complex derivative. It turns out that line integration in real and complex cases has many similarities. These similarities will be explored during our discussion. We will finish by showing how the complex variable Cauchy-Goursat Theorem can be proved using the real Green’s Theorem.


Dr. Howard Cohl (Job Candidate) - Fourier and Gegenbauer expansions for a fundamental solution of Laplace's equation on Riemannian spaces of constant curvature

A fundamental solution of Laplace's equation is derived on Riemannian spaces of constant curvature, namely in hyperspherical geometry and in the hyperboloid model of hyperbolic geometry. These fundamental solutions are given in terms of finite-summation expressions, Gauss hypergeometric function, definite integrals and associated Legendre functions with argument given in terms of the geodesic distance on these manifolds. Fourier and Gegenbauer expansions of these fundamental solutions are derived and discussed.


Carl Pomerance, Dartmouth College - Sums and Products

What could be simpler than to study sums and products of integers? Well maybe it is not so simple since there is a major unsolved problem: For arbitrarily large numbers N, is there a set of N positive integers where the number of pairwise sums is at most N1.99 and likewise, the number of pairwise products is at most N1.99? Erdös and Szemerédi conjecture no. This talk is directed at another problem concerning sums and products, namely how dense can a set of positive integers be if it contains none of its pairwise sums and products? For example, take the numbers that are 2 or 3 more than a multiple of 5, a set with density 2/5. Can you do better? This talk reports on recent joint work with P. Kurlberg and J. C. Lagarias.

Carl Pomerance received his B.A. from Brown University in 1966 and his Ph.D. from Harvard University in 1972 under the direction of John Tate. During the period 1972—99 he was a professor at the University of Georgia, with visiting positions at the University of Illinois at Urbana-Champaign, the University of Limoges, Bell Communications Research, and the Institute for Advanced Study. In the period 1999—2003 he was a Member of the Technical Staff at Bell Laboratories. Currently he is the John G. Kemeny Parents Professor of Mathematics at Dartmouth College and Research Professor Emeritus at the University of Georgia.
A number theorist, Pomerance specializes in analytic, combinatorial, and computational number theory, with applications in the field of cryptology. He considers the late Paul Erdös as his greatest influence.

Pomerance was an invited speaker at the 1994 International Congress of Mathematicians, the Mathematical Association of America (MAA) Pólya Lecturer for 1993--95, and the MAA Hedrick Lecturer in 1999. More recently he was the Rademacher Lecturer at the University of Pennsylvania in 2010. He has won the Chauvenet Prize (1985), the Haimo Award for Distinguished Teaching (1997), and the Conant Prize (2001).

He is a Fellow of the American Association for the Advancement of Science (AAAS) and of the American Mathematical Society. He is the president of the Number Theory Foundation, a past vice president of the MAA and past chair of the Mathematics Section of the AAAS. He is the author of nearly 200 published papers and one book.


Hal Switkay(West Chester University ) - Visualizing 24 Dimensions, Listening to Groups

We continue to discuss the sensible communication of abstract information. Examples will be drawn from among the following topics: the graphical and cartographic display of data; the geometry of the 24-dimensional Leech lattice; melodies associated with finite groups.

Hal M. Switkay grew up in Philadelphia, PA. He earned his B.A. and M.A. in mathematics at the University of Pennsylvania with a minor in philosophy, and his Ph.D. in mathematics at Lehigh University in the study of set theory. After graduation, his interests shifted towards exceptional mathematics, symmetry, lattices, groups, higher-dimensional geometry, voting, statistics, and the sensible communication of abstract information. He has taught mathematics, from remedial to advanced, has done public speaking, is a musician and composer, and has earned certification as a teacher of Tai Chi Easy™ and as a practitioner of reiki and Thai massage. He has earned a certificate from West Chester University’s graduate program in applied statistics, and is currently enrolled in West Chester University’s graduate certificate program in business. His business card lists the following interests: mathematics; music; philosophy; health and wellness.


Ms. Kim Johnson (Job Candidate) - The proportional reasoning of pre-service teachers at the beginning of their teacher preparation program

The purpose of this study is to examine the proportional reasoning of pre-service teachers at the beginning of their teacher preparation program using a developmental shifts model described by Lobato and Ellis (2010). The analysis of the data suggests that the shifts model is hierarchical for those participants who have either made all four shifts in their proportional reasoning or who provide evidence of only completing the first shift. The remaining participants provide evidence that they are in the process of making shifts 2, 3, and 4. For these participants the model does not appear to remain hierarchical. This is based upon the inconsistent evidence they provide while completing proportional reasoning problems. The findings in this study provide teacher educators with knowledge about the nature of the development of pre-service teachers' proportional reasoning. In particular, this study highlights four misconceptions: reasoning quantitatively, recognizing ratios as measurement, misconceptions about ratios and fractions, and the obstacle of linearity. Transformative learning theory (Mezirow, 1991) explains how pre-service teachers can overcome these misconceptions. This theory requires a disorienting dilemma in order to help individuals engage in rational discourse and critical reflection about previous assumptions. This study on proportional reasoning illustrates how four problems were able to provide pre-service teachers with a disorienting dilemma causing them to engage in rational discourse with the researcher and critically reflect on their previous assumptions in order to transform their proportional reasoning. The knowledge gained from this research can be used to develop courses to transform the understanding that pre-service teachers have of ratio and proportion. This ultimately will enhance the proportional reasoning opportunities they provide their students in their future classrooms.


Professor Sergei Sergeev (University of Birmingham, UK) - Tropical convexity over max-min semirings

We develop an analogue of convex geometry over the max-min semiring, starting with description of segments, hyperplanes and semispaces, and some separation and non-separation results. We derive the max-min analogues of Caratheodory, Radon and Helly theorems, and give some colorful extensions.

Dimension of max-min convex sets will be also introduced and discussed.

This talk is based on joint work with Prof. Viorel Nitica.

Fall 2012

Professor Mike Fisher (West Chester University Mathematics Department)

  • Combinatorial Games Theory Seminar - I
  • Combinatorial Games Theory Seminar - II
  • Combinatorial Games Theory Seminar - III
  • Combinatorial Games Theory Seminar - IV
  • Combinatorial Games Theory Seminar - VI
  • Combinatorial Games Theory Seminar - VII
  • Combinatorial Games Theory Seminar - VIII
  • Combinatorial Games Theory Seminar - IX

Alex Rice (Bucknell University) - Arithmetic Patterns in Dense Sets of Integers

Arithmetic Combinatorics is a rapidly developing area with close connections to number theory, combinatorics, harmonic analysis and ergodic theory. Roughly speaking, the field is concerned with finding and counting arithmetic structures in sets, often contained in the integers, and it includes such seminal results as Szemeredi's Theorem on arithmetic progressions and the Green-Tao Theorem on arithmetic progressions in the primes. Here we give a brief introduction and survey of some foundational results in this area, and later we focus on improvements and generalizations of two theorems of Sarkozy, the qualitative versions of which state that any set of natural numbers of positive upper density necessarily contains two distinct elements which differ by a perfect square, as well as two elements that differ by one less than a prime number. Included will be joint work with Neil Lyall and Mariah Hamel.

Alex Rice is a Visiting Assistant Professor in the Department of Mathematics at Bucknell University in Lewisburg, PA. He received his Ph. D. in mathematics from the University of Georgia, and his current research interests are in arithmetic combinatorics.


Jimmy Mc Laughlin (West Chester University)

  • PARTITION BIJECTIONS, A SURVEY - III
  • PARTITION BIJECTIONS, A SURVEY - IV
  • PARTITION BIJECTIONS, A SURVEY - V

Professor Viorel Nitica(West Chester University Mathematics Department) - A Coloring Invariant for Ribbon L-Tetrominoes

In this talk we investigate several tiling problems for regions in a square lattice by ribbon L- shaped tetrominoes. One of our results shows that tiling of the first quadrant by ribbon L-tetrominoes is possible only if it reduces to a tiling of the first quadrant by 2x4 and 4x2 rectangles. A consequence of the result is the classification of all rectangles that can be tiled by ribbon L-shaped tetrominoes.


Garth Isaak (Lehigh University) - Perfect Maps

Arranging 00011101 on a circle, the consecutive triples are exactly the 8 distinct binary triples. Can we do something similar with a larger alphabet and longer strings? These are called DeBruijn cycles and have a long and interesting history. More recently higher dimensional versions called perfect maps have been investigated. Try, for example creating a 9 by 9 array with entries 0,1,2 such that when wrapped on a torus each of the 81 distinct 2 by 2 patterns with 3 symbols appears exactly once. Mathematical and algorithmic questions and applications related to both of these will be presented.

Garth Isaak received an undergraduate degree with majors in Chemistry, Mathematical Sciences and Physics from Bethel College in Kansas, a Ph.D. from RUTCOR, the Operations Research Center at Rutgers University. Following two postdoctoral years at Dartmouth he moved to Lehigh University where he now Professor of Mathematics and Associate Dean for Research and Graduate Studies in the College of Arts and Sciences.


Professor Rosemary Sullivan (West Chester University) - A Modification of Sylvester's Four Point Problem

In 1865, Sylvester posed the problem of finding the probability that four points randomly chosen with a uniform distribution over a compact convex region K in the plane form the vertices of a convex quadrilateral. This led to substantial research on the ratio
rho_K = E(area(T))/area(K) ,
where T denotes a triangle formed by three independent and uniformly distributed points in K. In this talk we consider the problem of studying the behavior of the ratio
rho_P* = E(area(T))/E(L^2) ,
where L is the distance between two independent points with distribution P and T is a triangle with three independent vertices with distribution P. We call this the Modified Sylvester Four Point Problem.


 

Professor Whitney George(West Chester University) - An Introduction to Knot Theory

One of the underlying goals in knot theory is to determine when two knots are equivalent. A knot is simply an embedded circle in space. Therefore, we can try to answer this question with hands-on examples. However, this simple task can become difficult and the need for mathematics becomes relevant. In this talk, we will discuss some basic knot invariants, such as crossing number, and the three Reidemeister move, and then extending them to links.

Spring 2012

JGengxin Li (Yale University) - The Improved SNP Calling Algorithms for Illumina BeadArray Data

Genotype calling from high throughput platforms such as Illumina and Affymetrix is a critical step in data processing, so that accurate information on genetic variants can be obtained for phenotype-genotype association studies. A number of algorithms have been developed to infer genotypes from data generated through the Illumina BeadStation platform, including GenCall, GenoSNP, Illuminus, and CRLMM. Most of these algorithms are built on population-based statistical models to genotype every SNP in turn, such as GenCall with the GenTrain clustering algorithm, and require a large reference population to perform well. These approaches may not work well for rare variants where only a small proportion of the individuals carry the variant. A fundamentally different approach, implemented in GenoSNP, adopts a SNP-based model to infer genotypes of all the SNPs in one individual, making it an appealing alternative to call rare variants. However, compared to the population-based strategies, more SNPs in GenoSNP may fail the Hardy-Weinberg Equilibrium test. To take advantage of both strategies, we propose the two-stage SNP calling procedures, to improve call accuracy for both common and rare variants. The effectiveness of our approach is demonstrated through applications to genotype calling on a set of HapMap samples used for quality control purpose in a large case-control study of cocaine dependence. The increase in power with our proposed method is greater for rare variants than for common variants depending on the model.

Gengxin Li is currently a Postdoctoral Associate in the Division of Biostatistics, Department of Epidemiology and Public Health at Yale University. She received a dual-major Ph.D. degree in Statistics and Quantitative Biology at Michigan State University. Her current research interests are high-dimensional data analysis, Bayesian method, Dirichlet process, longitudinal data analysis, Statistical genomics, Statistical genetics, Bioinformatics and Clinical Trials.


Meredith Hegg (Temple University) - Exact Relations for Fiber-Reinforced Elastic Composites

Predicting the effective elastic properties of a composite material based on the elastic properties of its constituent materials is extremely difficult, even when the microstructure of the composite is known. However, there are special cases where certain properties in constituents always carry over to the composite, regardless of microstructure. We call such instances exact relations. The general theory of exact relations allows us to find all of these relations in a wide variety of contexts including elasticity, conductivity, and piezoelectricity. We combine this theory with certain results from representation theory to find all exact relations in the context of elasticity of fiber-reinforced polycrystalline composites and thereby generate new information about this widely-used class of materials.

Meredith Hegg is currently a PhD student in the Department of Mathematics at Temple University. Her main area of research is currently Mechanics of Deformable Solids, and she expects to obtain her PhD in May 2012. Her thesis adviser is Dr. Yury Grabovsky.


John H. Conway (Princeton University) - The First Field

We all know one field that contains 0,1,2,..., but, logically, there is an earlier field that is defined as follows. We first fill in the addition table, subject to the condition that before we fill in the entry for a+b, we must have already filled in all entries a'+b and a+b' with a'<a and b'<b. Then, the entry at a+b is to be the least possible number that is consistent with the result's being a part of the addition table of a field.

We then tackle the multiplication table of a field with the given addition. Again, the entries are to be the least possible one's subject to this requirement; this construction produces a very strange field in which 8 is a fifth root of unity. Amazingly, this field actually has practical applications.

John H. Conway is a prolific mathematician active in the theory of finite groups, knot theory, number theory, combinatorial game theory and coding theory. He has also contributed to many branches of recreational mathematics, notably the invention of the cellular automaton called the Game of Life.

Conway is currently Professor of Mathematics and John Von Neumann Professor in Applied and Computational Mathematics at Princeton University. He studied at Cambridge, where he started research under Harold Davenport. He received the Berwick Prize (1971), was elected a Fellow of the Royal Society (1981), was the first recipient of the Pólya Prize (LMS) (1987), won the Nemmers Prize in Mathematics (1998), and received the Leroy P. Steele Prize for Mathematical Exposition (2000) of the American Mathematical Society.


Andrew Crossett (Carnegie Mellon University) - Refining Genetically-Inferred Relationships Using Treelet Smoothing

Heritability, or fraction of the total trait variance attributable to additive genetic effects, is an important concept in quantitative genetics. Originally, heritability was only measurable by examining groups of very closely related individuals, such as twin studies. More recently, methods have been proposed to analyze population samples containing only distantly related individuals using a random effects model. To do so they estimate the relatedness of all pairs of individuals in the population sample using a dense set of common genetic variants, such as SNPs, and evaluate their relationships to subject trait values. We build on their approach, focusing on improved estimates of pairwise familial relationships. We propose a new method for denoising genetically inferred relationship matrices, and refer to this general regularization approach of positive semi-definite matrices as Treelet Covariance Smoothing. On both simulated and real data, we show that better estimates of the relatedness amongst individuals lead to better estimates of the heritability.


Jeffrey Beyerl (Clemson University) - On the Factorization of Eigenforms

Modular forms fall within the realm of complex analysis and number theory, with notable applications in theoretical physics. Hecke operators act on spaces of modular forms, and spectral theory implies the existence of eigenforms. My recent research, which will be presented at this talk, has investigated the factorizations of these eigenforms. This type of investigation is relatively new, having started in 1999 when Eknath Ghate and William Duke independently discovered that the product of two eigenforms is again an eigenform only when it is trivially so.

Jeffrey Beyerl is a graduate student in the Department of Mathematics at Clemson University. His main area of research is presently in the field of modular forms, and he expects to obtain his PhD in May 2012. His thesis advisers are Kevin James and Hui Xue.


 

Tieming Ji (Iowa State University) - Borrowing Information across Genes and Experiments for Improved Error Variance Estimation in Microarray Data Analysis

Statistical inference for microarray experiments usually involves the estimation of error variance for each gene. Because the sample size available for each gene is often low, the usual unbiased estimator of the error variance can be unreliable. Shrinkage methods, including empirical Bayes approaches that borrow information across genes to produce more stable estimates, have been developed in recent years. Because the same microarray platform is often used for at least several experiments to study similar biological systems, there is an opportunity to improve variance estimation further by borrowing information not only across genes but also across experiments. We propose a lognormal model for error variances that involves random gene effects and random experiment effects. Based on the model, we develop an empirical Bayes estimator of the error variance for each combination of gene and experiment and call this estimator BAGE because information is Borrowed Across Genes and Experiments. A permutation strategy is used to make inference about the differential expression status of each gene. Simulation studies with data generated from different probability models and real microarray data show that our method outperforms existing approaches.


Whitney George (University of Georgia) - Twist Knots and the Uniform Thickness Property

In 2007, Etnyre and Honda defined a new knot invariant called the Uniform Thickness Property in order to better understand Legendrian knots. The classification of Legendrian knots in R^3 with the standard contact structure has been a slow process in comparison to the topological classification in R^3. In this talk, we will discuss what makes Legendrian knots more delicate than topological knots, and how the Uniform Thickness Property can help in their classification. My current research investigates the Uniform Thickness Property with respect to positive twist knots which we will discuss towards in the second half of this talk.

Whitney George is a graduate student in the Department of Mathematics at the University of Georgia. Her main area of research is presently in contact topology, and is focused towards knots and surfaces in R^3 with the standard contact structure, and she expects to obtain her PhD in May 2012. Her thesis adviser is Gordana Matic.


Andrew Parrish (Illinois at Urbana-Champaign) - Pointwise Convergence of Averages of L1 Functions on Sparse Sets.

Joint work with P. LaVictoire (University of Wisconsin, Madison) and J. Rosenblatt (UIUC).

The behavior of time averages when taken along subsets of the integers is a central question in subsequence ergodic theory. The existence of transference principles enables us to talk about the convergence of averaging operators in a universal sense; we say that a sequence {an}; is universally pointwise good for L1, for example, if the sequence of averages 1/NΣ_{n=0};^{N-1};f ° LT^{-an};(x) converges a.e. for any f ∈ L1 for every aperiodic measure preserving system (X; B; T; ). Only a few methods of constructing a sparse sequence that is universally pointwise L1-good are known. We will discuss how one can construct families of sets in Zd which are analogues of these sequences,
as well as some challenges and advantages presented by these higher-dimensional averages.

Andrew Parrish is a visiting Assistant Professor in the Department of Mathematics at the University of Illinois at Urbana-Champaign. His current research interests are in ergodic theory, particularly subsequence ergodic theory, with applications to additive combinatorics and harmonic analysis. He obtained his PhD in May 2009 at the University of Memphis. His thesis adviser was Mate Wierdl.


Alissa Crans (Loyola Marymount University) - A Fine Prime

In celebration of your mathematical achievements on this special day we will investigate fun facts related to Leap Days! We'll discuss mathematicians associated to this day and various calendar systems. In addition, we will explore the numerous interesting properties of the number 29. Of course it's prime, but in fact, it's a twin prime, Sophie Germain prime, Lucas prime, Pell prime, and Eisenstein prime. It's also a Markov number, Perrin number, tetranacci number and Stormer number! We'll see all of this, and more, as we congratulate the newest members of Pi Mu Epsilon for their wonderful accomplishments.


Alissa S. Crans earned her B.S. in mathematics from the University of Redlands in 1999 and her Ph.D. in mathematics from the University of California at Riverside in 2004, under the guidance of John Baez. She is currently an Associate Professor of mathematics at Loyola Marymount University and has held positions at Pomona College, The Ohio State University, and the University of Chicago.
Alissa's research is in the field of higher-dimensional algebra and her current work, funded by an NSA Young Investigator Grant, involves categorifying algebraic structures called quandles with the goal of defining new knot and knotted surface invariants. She is also interested in the connections between mathematics and music, and enjoys playing the clarinet with the Santa Monica College wind ensemble.
Alissa is extremely active in helping students increase their appreciation and enthusiasm for mathematics through coorganizing the Pacific Coast Undergraduate Mathematics Conference together with Naiomi Cameron and Kendra Killpatrick, and her mentoring of young women in the Summer Mathematics Program (SMP) at Carleton College, the EDGE program, the Summer Program for Women in Mathematics at George Washington University, the Southern California Women in Mathematics Symposium, and the Career Mentoring Workshop. In addition, Alissa was an invited speaker at the MAA Spring Sectional Meeting of the So Cal/Nevada Section and the keynote speaker at the University of Oklahoma Math Day and the UCSD Undergraduate Math Day. She is a recipient of the 2011 Merten M. Hasse Prize for expository writing and the Henry L. Alder Award for distinguished teaching.


Stefaan Delcroix (California State University, Fresno) - A Generalization of Bertrand's Postulate

Bertrand's Postulate states that for any n > 1, there is at least one prime between n and 2n. We will give an elementary proof of the following generalization: Let k be a fixed number. Then for all n ≥ max{4000, 162k^2}, there are at least k primes between n and 2n.


Stefaan Delcroix (California State University, Fresno) - Locally Finite Simple Groups

A group $G$ is locally finite if every finite subset of $G$ generates a finite subgroup. In this talk, we study infinite, locally finite, simple groups (=LFS-groups). We will introduce some standard definitions and properties, divide the LFS-groups into three categories and provide examples of each category. Next, we study a specific category (LFS-groups of $p$-type) into more detail. This allows us to show some local characterization of each category. Time permitting, we discuss a general construction of LFS-groups of $p$-type.

Born and raised in Belgium, Stefaan finished his masters in mathematics at the University of Ghent (in Belgium). He spent the next three years working on his Ph.D. at Michigan State University under the guidance of Prof. Ulrich Meierfrankenfeld. The subject of his thesis was locally finite simple groups of p-type and alternating type. In June 2000, Stefaan finished his Ph.D. at the University of Ghent. For two years, he worked as a Visiting Assistant Professor at the University of Wyoming in Laramie. Since 2002, Stefaan has worked at California State University, Fresno.


Shiv Gupta (West Chester University) - On Euler's Proof of Fermat's Last Theorem For Exponent Three

We shall discuss some aspects of Euler's proof of Fermat's Last Theorem for exponent three. This talk will be suitable for students who have taken (or currently taking) a course on Theory of Numbers (Mat 414/514).


Jimmy Mc Laughlin (West Chester University) - Hybrid Proofs of the q-Binomial Theorem and other q-series Identities. I

The proof of a q-series identity, whether a series-to-series identity such as the second iterate of Heine’s transformation, a basic hypergeometric summation formula such as the q-Binomial Theorem or one of the Rogers-Ramanujan identities, generally falls into one of two broad camps.

In the one camp, there are a variety of analytic methods.

In the other camp there are a variety of combinatorial or bijective proofs, the simplest of course being conjugation of the Ferrer’s diagram for a partition.

In this series of talks we use a “hybrid” method to prove a number of basic hypergeometric identities. The proofs are “hybrid” in the sense that we use partition arguments to prove a restricted version of the theorem, and then use analytic methods (in the form of the Identity Theorem) to prove the full version.


Jimmy Mc Laughlin (West Chester University)

  • Hybrid Proofs of the q-Binomial Theorem and other q-series Identities. II
  • Hybrid Proofs of the q-Binomial Theorem and other q-series Identities. III
  • Some Partition Bijections in Igor Pak's "PARTITION BIJECTIONS, A SURVEY

Sergei Sergeev (University of Birmingham, UK.) - Tropical convex geometry and two-sided systems of tropical inequalities

Tropical mathematics emerged in 1960's as a linear encoding of some problems in discrete optimization and scheduling. In a nutshell, it studies "spaces" over the max-plus algebra, which is the set of real numbers where taking maximum plays the role of addition, and addition plays the role of multiplication. In the tropical mathematics, negative infinity plays the role of zero, hence any real number is "positive" in the tropical sense. Hence, there are connections with nonnegative linear algebra (in particular, Perron- Frobenius theory), and convex geometry. To this end, tropical spaces can be viewed as an analogue of convex cones, and many results of convex analysis have their tropical analogues, which will be reviewed. Tropical linear two-sided systems Ax = Bx, where matrix-vector multiplication is defined using the tropical arithmetics, are the algebraic encoding of tropical convex cones. Geometrically, such systems represent the tropical convex cones as intersection of tropical halfspaces. Methods for finding a solution to such two-sided systems stem from combinatorial game theory, more specifically, from the theory of deterministic mean-payoff games. We will also touch upon some problems like the tropical linear programming that can be viewed as parametric extension of two-sided systems, and give rise to parametric extensions of mean-payoff games.


Hal Switkay (West Chester University) - The Sensible Communication of Abstract Information

We consider the engagement of the senses in the process of communicating and learning the abstractions of mathematics. Examples are provided from the history of mathematics continuing through current developments, including Markov processes, analytic geometry, statistics, decision theory, 24-dimensional geometry, and the musical representation of groups.

This talk should be easily accessible to undergraduates.

Hal M. Switkay earned his Ph.D. in mathematics at Lehigh University in the study of set theory. After graduation, his interests shifted towards symmetry, lattices, groups, and higher-dimensional geometry. He has taught mathematics, from remedial to advanced, has done public speaking, is a musician and composer, and has earned certification as a teacher of Tai Chi Easy and as a practitioner of reiki and Thai massage. He is currently enrolled in West Chester University's graduate certificate program in applied statistics. His business card lists the following interests: mathematics; music; philosophy; health and wellness; and syncretic
panendeism.


Keith Devlin (Stanford University) - Leonardo Fibonacci and Steve Jobs

The first personal computing revolution took place not in Silicon Valley in the 1980s but in Pisa in the 13th Century. The medieval counterpart to Steve Jobs was a young Italian called Leonardo, better known today by the nickname Fibonacci. Thanks to a recently discovered manuscript in a library in Florence, the story of how this little known genius came to launch the modern commercial world can now be told.

Based on Devlin’s latest book The Man of Numbers: Fibonacci’s Arithmetical Revolution (Walker & Co, July 2011) and his co-published companion e-book Leonardo and Steve: The Young Genius Who Beat Apple to Market by 800 Years.

Keith Devlin is a mathematician at Stanford University in California. He is a co-founder and Executive Director of the university's H-STAR institute, a co-founder of the Stanford Media X research network, and a Senior Researcher at CSLI. He has written 31 books and over 80 published research articles. His books have been awarded the Pythagoras Prize and the Peano Prize, and his writing has earned him the Carl Sagan Award, and the Joint Policy Board for Mathematics Communications Award. In 2003, he was recognized by the California State Assembly for his "innovative work and longtime service in the field of mathematics and its relation to logic and linguistics." He is "the Math Guy" on National Public Radio.

He is a World Economic Forum Fellow and a Fellow of the American Association for the Advancement of Science. His current research is focused on the use of different media to teach and communicate mathematics to diverse audiences. He also works on the design of information/reasoning systems for intelligence analysis. Other research interests include: theory of information, models of reasoning, applications of mathematical techniques in the study of communication, and mathematical cognition. He writes a monthly column for the Mathematical Association of America, "Devlin's Angle”.


Elwyn BerleKamp (University of California, Berkley) - Combinatorial Games: Hackenbush and Go

This talk will review the rudiments of combinatorial game theory [1] as exemplified by a game called Hackenbush. Positions are seen to have values, which are sums of numbers and infinitesimals, such that the winner depends on how the total value compares with zero.

We then discuss how refinements of this theory have been applied to the classical Asian board game called Go. The most important tool is the "cooling operator" [2], which maps combinatorial games into other combinatorial games. In the first application, many late stage Go endgame positions [3] are shown to be combinatorial games which, when cooled by 1, often reduce to familiar numbers and infinitesimals. Combinatorial game theory then enables its practitioner to win the endgame by one point. In the second application, Nakamura[4] has shown that liberties can also be viewed as combinatorial games which become familiar numbers and infinitesimals when cooled by 2. In a large class of interesting positions, this approach identifies the move(s), if any, which win the capturing race.

Although not prerequisite to this talk, more details can be found in these references:

[1] Berlekamp, Conway, and Guy: Winning Ways, Chap 1

[2] Berlekamp, Conway, and Guy: Winning Ways, Chap 6

[3] Berlekamp and Wolfe: Mathematical Go

[4] Nakamura, in Games of No Chance, vol 3

Elwyn Berlekamp was an undergraduate at MIT; while there, he was a Putnam Fellow (1961). Professor Berlekamp completed his bachelor's and master's degrees in electrical engineering in 1962. Continuing his studies at MIT, he finished his Ph.D. in electrical engineering in 1964; his advisors were Claude Shannon, Robert G. Gallager, Peter Elias and John Wozencraft. Berlekamp taught at the University of California, Berkeley from 1964 until 1966, when he became a researcher at Bell Labs. In 1971, Berlekamp returned to Berkeley where, as of 2010, he is a Professor of the Graduate School.

He is a member of the National Academy of Engineering (1977) and the National Academy of Sciences (1999). He was elected a Fellow of the American Academy of Arts and Sciences in 1996. He received in 1991 the IEEE Richard W. Hamming Medal, and in 1998 the Golden Jubilee Award for Technological Innovation from the IEEE Information Theory Society.

Berlekamp is one of the inventors of the Welch-Berlekamp and Berlekamp-Massey algorithms, which are used to implement Reed-Solomon error correction. In the mid-1980s, he was president of Cyclotomics, Inc., a corporation that developed error-correcting code technology. With John Horton Conway and Richard K. Guy, he co-authored Winning Ways for your Mathematical Plays, leading to his recognition as one of the founders of combinatorial game theory. He has studied various games, including Fox and Geese and other fox games, dots and boxes, and, especially, Go. With David Wolfe, Berlekamp co-authored the book Mathematical Go, which describes methods for analyzing certain classes of Go endgames.